Share on Google+Share on FacebookShare on LinkedInShare on TwitterShare on DiggShare on Stumble Upon
Custom Search
 
  

 

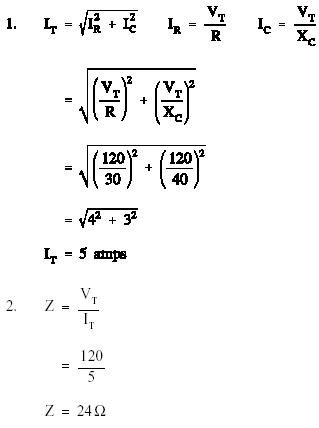
Example: A 30 resistance and a 40 Xc are in parallel with a 120V power source, as shown in Figure 7.

Find:

1. IT

2. Z

3. pf

4. P

5. Q

6. S

Figure 7 Parallel R-C Circuit

Solution:

 



Managed Security Service Provider
 


Privacy Statement - Copyright Information. - Contact Us

Integrated Publishing, Inc. - A (SDVOSB) Service Disabled Veteran Owned Small Business