Share on Google+Share on FacebookShare on LinkedInShare on TwitterShare on DiggShare on Stumble Upon
Custom Search
 
  

 

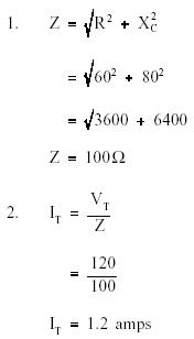
Example: An 80 Xc and a 60 resistance are in series with a 120V source, as shown in Figure 6.

Find:

1. Z

2. IT

3. pf

4. P

5. Q

6. S

Figure 6 Series R-C Circuit

Solution:

 



Managed Security Service Provider
 


Privacy Statement - Copyright Information. - Contact Us

Integrated Publishing, Inc. - A (SDVOSB) Service Disabled Veteran Owned Small Business