Share on Google+Share on FacebookShare on LinkedInShare on TwitterShare on DiggShare on Stumble Upon
Custom Search
 
  

 

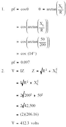
Example: A 200 92 resistor and a 50 92 XL are placed in series with a voltage source, and the total current flow is 2 amps, as shown in Figure 4.

Find:

1. pf

2. applied voltage, V

3. P

4. Q

5. S

Solution:

Figure 4 Series R-L Circuit

Note:

Inverse trigonometric functions such as arctan are discussed in the Fundamentals Manual, Module 4, Trigonometry, pages 6 and 7 should the student require review.

Power in Parallel R-L Circuit

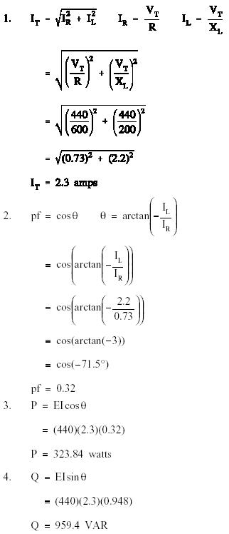
Example: A 600 92 resistor and 200 92 XL are in parallel with a 440V source, as shown in Figure 5.

Find:

1. IT

2. pf

3. P

4. Q

5. S

Figure 5 Parallel R-L Circuit

Solution:

 



Managed Security Service Provider
 


Privacy Statement - Copyright Information. - Contact Us

Integrated Publishing, Inc. - A (SDVOSB) Service Disabled Veteran Owned Small Business