Order this information in Print

Order this information on CD-ROM

Download in PDF Format

     

Click here to make tpub.com your Home Page

Page Title: MEASUREMENT OF VOLUME
Back | Up | Next

tpub.com Updates

Google


Web
www.tpub.com

Home

   
Information Categories
.... Administration
Advancement
Aerographer
Automotive
Aviation
Combat
Construction
Diving
Draftsman
Engineering
Electronics
Food and Cooking
Math
Medical
Music
Nuclear Fundamentals
Photography
Religion
USMC
   
Products
  Educational CD-ROM's
Printed Manuals
Downloadable Books
   

 

MEASUREMENT OF VOLUME

Volume is measured in terms of cubes,

This represents a cube of sides. The volume of this may be represented by Ss. Ifs equals 1", then the volume would be 1 cubic inch, and ifs equals 1', then the volume would be 1 cubic foot, etc.

It can be said that the volume of an object is measured by the number of cubes contained in the object when one side of the cube is equal in length to some unit of linear measure.

COMMON VOLUME FORMULAS

All factors in the formulas must be in the same linear units. As an example, one term could not be expressed in feet while other terms are in inches.

Volume of a Rectangular Prism

Example:

Find the number of cubic inches of water which can be contained by a rectangular can 5" x 6" x 10" high.

V= l x w x h

V = 5" x 6" x 10" = 300 cubic inches

Volume of a Cone

Example:

Find the volume of a cone whose altitude is 2'6" and whose base has a radius of 10".

= 3141.6 cubic inches

Volume of a Pyramid

A = Area of a base in square units

h = Altitude in linear units

Example:

Find the volume of a rectangular pyramid whose base is 3" x 4" and whose altitude is 6".

Area of the base= 3 x 4 = 12 square inches

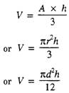
Volume of a Cylinder

where

V = Volume in cubic units

A = Area of the base in square units

h = Altitude in linear units

r = Radius of the base

d = Diameter of the base Example:

Find the volume of a cylindrical tank whose diameter is

Volume of the Frustum of a Right Circular Cone

The frustum of a cone is formed when a plane is

passed parallel to the base of the cone. The frustum is the portion below base CD. The altitude of the frustum is the perpendicular distance between the bases.

where

h = Altitude in linear units

r = Radius of the upper base in linear units

R = Radius of the lower base in linear units

Example:

Find the volume of a conical shaped container whose dimensions are indicated in the drawing.

Volume of a Frustum of a Regular Pyramid

A frustum of a pyramid is formed when a plane is passed parallel to the base of the pyramid. The frustum is the portion below plane MN. The altitude is the perpendicular distance between the bases.

where

V = Volume of the frustum in cubic units

h = Altitude in linear units

B = Area of the lower base in square units

b = Area of the upper base in square units

Example:

Find the volume of a frustum of a square pyramid if one side of its upper base is 2" and one side of the lower base is 8". The distance between the bases is 10".

V = 280 cu in.

Conversion of Units of Cubic Measure

It is often necessary to convert from one cubic measure to another. The conversion factors used are as follows:

1 cubic foot = 1,728 cubic inches 1 cubic yard= 27 cubic feet

1 cubic foot = 7.48 U.S. gallons (liquid measure)

1 U.S. gallon (liquid measure) = 231 cubic inches

1 bushel (dry measure) = 2,150.42 cubic inches

Example:

1. How many cubic feet are there in 4,320 cubic inches?

To convert cubic inches to cubic feet, divide by 1,728.

2. How many cubic inches are there in 3.5 cubic feet?

To convert cubic feet to cubic inches, multiply by 1,728.

3. How many cubic yards are there in 35 cubic feet?

To convert cubic feet to cubic yards, divide by 27.

To convert cubic yards to cubic feet, multiply by 27.

4. How many gallons are contained in a tank having a volume of 25 cubic feet?

To change cubic feet to,gallons, multiply by 7.48. To change gallons to cubic feet, divide by 7.48.

RATIO

The ratio of one number to another is the quotient of the first, divided by the second. This is often expressed as a:b, which is read the ratio of a to b. More commonly, this is expressed as the fraction a/b.

Ratio has no meaning unless both terms are expressed in the same unit by measurement.

Example:

What is the ratio of the diameter of circle 0 to circle M? This ratio is D:d or D/d. If the diameter of 0 is 3 inches and the diameter of M is 1.5 inches, then the ratio of the diameters of circle 0 and circle M would be 3/1.5 or 2/1 (read "ratio of two 1 to one").

What is the ratio of the diameter of circle M to the diameter of circle 0?

Privacy Statement - Press Release - Copyright Information. - Contact Us - Support Integrated Publishing

Integrated Publishing, Inc. - A (SDVOSB) Service Disabled Veteran Owned Small Business