Order this information in Print

Order this information on CD-ROM

Download in PDF Format

     

Click here to make tpub.com your Home Page

Page Title: AREA OF A CIRCLE
Back | Up | Next

tpub.com Updates

Google


Web
www.tpub.com

Home

   
Information Categories
.... Administration
Advancement
Aerographer
Automotive
Aviation
Combat
Construction
Diving
Draftsman
Engineering
Electronics
Food and Cooking
Math
Medical
Music
Nuclear Fundamentals
Photography
Religion
USMC
   
Products
  Educational CD-ROM's
Printed Manuals
Downloadable Books
   

 

AREA OF A CIRCLE

Development of Formula:

The above demonstrates that a circle divided into a number of parts maybe laid out as a parallelogram. As the number of parts is increased, the longer side approaches 1/2 of the circumference; if divided into an indefinite number of parts, it would be equal to 1/2 the circumference. As the number increases, h approaches r and would be equal if the circle was divided into an infinite number of parts.

The areas of the parallelogram is

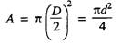
The formula for the area of a circle

Since r = d/2 where d is the diameter of a circle, the formula for the area of a circle in terms of its diameter is

GEOMETRIC SOLIDS

In describing plane shapes, you use only two dimensions: width and length; there is no thickness. By adding the third dimension, you describe a solid object.

Consider the solids shown below.

1. A PRISM is a figure whose two bases are polygons, alike in size and shape, lying in parallel planes and whose lateral edges connect corresponding vertices and are parallel and equal in length. A prism is a right prism if the lateral edge is perpendicular the base. The altitude of a prism is the perpendicular distance between the bases.

2. A CONE is a figure generated by a line moving in such a manner that one end stays fixed at a point called the "vertex." The line constantly touches a plane curve which is the base of the cone. A cone is a circular cone if its base is a circle. A circular cone is a right circular cone if the line generating it is constant in length. The altitude of a cone is the length of a perpendicular to the plane of the base drawn from the vertex.

3. A PYRAMID is a figure whose base is a plane shape bounded by straight lines and whose sides are triangular plane shapes connecting the vertex and a line of the base. A regular pyramid is one whose base is a regular polygon and whose vertex lies on a perpendicular to the base at its center. The altitude of a pyramid is the length of a perpendicular to the plane of the base drawn from the vertex.

4. A CIRCULAR CYLINDER is a figure whose bases are circles lying in parallel planes connected by a curved lateral surface. A right circular cylinder is one whose lateral surface is perpendicular to the base. (Note: Any reference in this text to a cylinder will mean a circular cylinder.) The altitude of a circular cylinder is the perpendicular distance between the planes of the two bases.

Privacy Statement - Press Release - Copyright Information. - Contact Us - Support Integrated Publishing

Integrated Publishing, Inc. - A (SDVOSB) Service Disabled Veteran Owned Small Business