Share on Google+Share on FacebookShare on LinkedInShare on TwitterShare on DiggShare on Stumble Upon
Custom Search
 
  

 

Exposure meters for measuring incident light can be used directly to help determine lighting ratios. A gray card is used to get an accurate exposure reading whenever reflected light meter readings are taken.

Incident light exposure meters are very useful for motion pictures because they can be used at a scene to calculate exposure before the subject arrives. They also can be carried throughout the scene, thereby indicating uneven lighting or hot spots, thus indicating whether the lighting should be altered.

With a motion-picture camera, the final exposure adjustment is usually made only with the aperture because fps rate of the camera determines the shutter speed. The goal of exposure control for motion pictures is to produce consistent and uniform image densities and tones from one scene to the next.

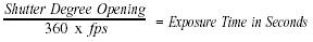
Accurate and correct exposure control can be achieved only through the proper use of a good exposure meter. The exposure time for a movie camera is a result of the rate at which the camera is operated (usually 24 fps) and the shutter degree opening (the degree of the open segment of the shutter). The shutter degree opening for a particular camera is provided by the camera manufacturer. Given the shutter degree opening, you can determine exposure time by use of the following formula:

For example, suppose you have a camera with a shutter degree opening of 175 degrees and you intend to be filming at the standard rate of 24 fps. Determine the shutter speed as follows:

or 1/50 second

NOTE: 360 is a constant factor (number of degrees in a circle).

The information on exposure provided in chapter 4 applies equally well to motion-picture photography as it does to still photography.

Neutral density filters (ND) are often used in motion-picture work to help control exposure because of the limited f/stop and shutter speed combinations available on motion-picture cameras. When you are shooting a movie, the fps and the shutter degree opening are fixed. You may not be able to open up the aperture to get the correct exposure control and depth of field; therefore, you would use an ND filter to reduce the amount of light reaching the film. Remember, because of the fps rate, you are restricted to a given shutter speed, and stopping the lens down would destroy your depth-of-field effect.

MOTION VIDEO

Videotape recording has basically replaced motion-picture film making. Motion video has a number of advantages compared to motion-picture coverage. Some of these advantages are as follows:

A videotape camera can record black and white as well as color.

No time-consuming film processing is required and recordings can be played back immediately.

When necessary videotape may be partially or completely erased and used again for several more recordings. It can be played back numerous times and may be stored indefinitely.

Videotape is edited or assembled more quickly than film.

Videotapes are duplicated and distributed easily to other Navy activities.

A video camera is optically similar to a movie camera, except it does not use film. Considering the technical complexity of a video camera, it is fundamentally simple. To understand clearly motion video, you must be familiar with some key terms. These terms will be seen commonly in all publications pertaining to video.



Managed Security Service Provider
 


Privacy Statement - Copyright Information. - Contact Us

Integrated Publishing, Inc. - A (SDVOSB) Service Disabled Veteran Owned Small Business