Share on Google+Share on FacebookShare on LinkedInShare on TwitterShare on DiggShare on Stumble Upon
Custom Search
 
  

 

There is in every lens assembly a mechanical device for controlling the amount of light that passes through the lens. This mechanism may have a fixed size, or it may be designed to provide a selection among a number of sizes that can be given to the aperture in a lens. This device is a diaphragm, and its scale increments are called f/stops (fig. 1-24). It is located within the lens to cut off or obstruct the marginal light rays while permitting the more central rays to pass. Most lenses have a series of thin metal leaves for this purpose. These leaves are arranged and shaped to provide an approximately circular opening that can be changed in

 

Figure 1-23. Equal f/stops produce equal intensities.

size, when desired, and is called an iris diaphragm. This opening is always concentric (centered) with, and perpendicular to the optical axis of the lens. Its location in the lens barrel is determined by the manufacturer when the lens is designed.

Rotating the diaphragm control ring in the direction that reduces the size of the aperture is termed stopping down. Moving the control ring so it enlarges the aperture

Figure 1-24. Iris and iris diaphragm.

size is termed opening up. When the diaphragm is set at the largest aperture, the lens is said to be wide open. The better the quality of the optics within the lens, the larger the possible maximum aperture. The size of the largest opening is the maximum working aperture of the lens and is called the lens speed. The diaphragm, along with the shutter, controls the amount of light passing through a lens, and hence the exposure the film receives.

There are many different aperture sizes possible with the diaphragm, and each aperture size has a different value. Consequently, a system was devised for marking them so they could be used with consistency. The factorial system has become the most widely used. This system uses a set of markings commonly called the f/system. By using the diaphragm control ring, or lever, you can bring the index mark into line with the numbers that indicate the measured f/stop of the aperture. Remember, as these index numbers increase in size, the opening decreases in size. Furthermore, these numbers are chosen by moving the index pointer to the next larger number, and the amount of light admitted is cut in half. The first or lowest number in the series is usually an

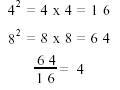
exception. All these numbers may not exactly reduce the amount of light admitted by one half, but they are sufficiently close for all practical purposes. However, all of these values are in proportion to the squares of their numbers. For example, f/4 admits four times more light than f/8 because the square of f/4 is contained in the square of f/8 exactly four times. Thus,

Table 1-1 shows that the amount of light admitted is inversely proportional to the square of the f/stop, while the exposure required is directly proportional to it.

EXAMPLE: The correct exposure at f/8 required 1 second. How long an exposure is required at f/16? The proportion and computation are as follows:

Thus the required exposure equals 4 seconds.

Table 1-1. Comparison of f/stops with Amount of Light to Exposure Time

Table 1-2. Amount of light, f/stop, and Exposure Time Relationship

The first (lowest) f/stop marked on the lens mount is the correct value for its largest aperture. The next number is the nearest f/stop in an arbitrary series that has been adopted as a standard. In this standard series, each succeeding number going up the scale (from the largest opening to the smallest) permits only half as much light to enter the camera. Thus, as the numbers get larger, the diaphragm openings (apertures) become smaller. However, moving the index pointer in the reverse order, down the scale (from the smallest opening to the largest), the numbers get smaller and the diaphragm openings become larger. As shown in table 1-1, the smallest number may not admit exactly twice as much light as the next larger number. Nevertheless, the amount of light admitted remains inversely proportional to the square of the f/stop, and the exposure required is always directly proportional to it.

All lenses are indexed with the standard series of f/stops either completely or in part-except for the first f/stop (as stated earlier) that is computed to indicate the correct value of the maximum aperture. The photographer should become acquainted with this series, so its relative values are known. The following table is a listing of the f/stop, better known as the standard full stops. A comparative exposure based on 1 second at f/4 or 16 seconds at f/16 is also shown (table l-2).

By studying the table, you can see that when the lens aperture is opened one full stop, the amount of light transmitted is twice that of the nearest preceding stop. And altering the f/stop one full stop less (stopping down) reduces the amount of light passing through the lens to one half that of the nearest larger stop.

In summary then:

Light passes through an opening (aperture) of the lens. The diameter of the aperture can be changed. The openings are called f/stops. The f/stops indicate to the photographer that a lens (any lens) with a specific f/stop allows a given amount of light to the film. Thus a 12-inch focal-length lens set at f/4.5 gives the same exposure as a 6-inch focal-length lens set at f/4.5.

The f/stops represent a fraction of the focal length of the lens for a given lens; that is, an f/4 lens has an effective maximum opening of one fourth of its focal length.

From one full f/stop to the next full f/stop, there is a constant factor of two. As the opening changes from f/8 to f/l1, the light passing through the lens is reduced by one half because the larger f/stop (f/11) is a smaller aperture. When the aperture is changed from f/8 to f/5.6, the light passed is doubled because the aperture has been made larger.

Figure 1-25. Subject distance and focus.



Managed Security Service Provider
 


Privacy Statement - Copyright Information. - Contact Us

Integrated Publishing, Inc. - A (SDVOSB) Service Disabled Veteran Owned Small Business