Share on Google+Share on FacebookShare on LinkedInShare on TwitterShare on DiggShare on Stumble Upon
Custom Search
 
  

 

Today, the Navy photographer is applying photography to the ever-widening specialized and technical fields within the modem Navy. This has led to greater emphasis on the correct and accurate use of the most important part of the camera-the lens. The higher standards of picture quality and the greater interest in picture taking regardless of lighting conditions, all demand more attention to the correct use of lenses. No matter how good the quality of the lenses, if photographers do not use them correctly, they will not do us or the Navy any good.

f/stop of a Lens

To use lenses correctly, the photographer must understand the relationship between the aperture of a lens and the brightness of the image produced at the focal plane. The aperture of a lens is simply the opening through which light passes. The aperture is controlled by an adjustable diaphragm or iris. Each setting of the diaphragm is called an f/stop and is always read as a number, not as a fraction or true ratio. It is referred to as the f/stop or the f/stop of the diaphragm opening. This value is designated by a lowercase f with a slant (/) between the f and the value. For example, f/8 means that the diameter of the opening in the diaphragm is one eighth of the lens focal length, but only when the lens is focused on infinity. In this example f/8 is the effective aperture. If the lens were focused at other than infinity, f/8 would then be the relative aperture. In the study of the relationship between aperture and image brightness, the term relative aperture is used frequently. The term relative aperture then refers to the ratio between the effective aperture of the lens and its focal length. The relative aperture of a lens is controlled by two factors: (1) the diameter of the beam of light passed by the lens; and (2) the focal length of the lens, which governs the size of the area over which the light is spread.

f/stop Applications

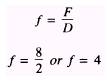
The formula to determine the f/stop of a lens is as follows:

Where:

F = focal length

D = diameter of the effective aperture

f = f/stop, or the relative aperture

EXAMPLE: To find the f/stop of a lens that has a focal length of 8 inches and the diameter of the effective aperture is 2 inches, use the formula below.

Therefore, the lens has a relative aperture of f/4.

When the diameter of the opening (aperture) of the lens is made smaller, less light is admitted and the image formed by the beam of light passing through the smaller opening becomes dim. As the size of the opening is reduced, the ratio between the aperture and the focal length increases. Thus an inverse relationship exists between the E/number and the relative aperture; as the f/stop becomes larger, the size of the relative aperture decreases.

Since the f/stop is a ratio of focal length to the lens diameter, all lenses with the same f/stops regardless of focal length provide the same amount of light on the focal plane; that is, when all the other factors that affect image brightness remain constant (fig. 1-23).



Managed Security Service Provider
 


Privacy Statement - Copyright Information. - Contact Us

Integrated Publishing, Inc. - A (SDVOSB) Service Disabled Veteran Owned Small Business