Custom Search
 
  

PROOF:

Therefore,

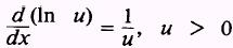
NOTE: The derivative formula , presented in chapter 5, can be extended for negative functions also. Hence,

EXAMPLE: Evaluate the integral

SOLUTION: If we write

we find we are unable to evaluate

by use of the power of a variable rule, so we write

because the 1 dx in the numerator is precisely du and we have fulfilled the requirements for

EXAMPLE: Evaluate

SOLUTION: Let

so that

We have the form

therefore,

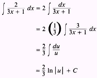
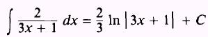
EXAMPLE: Evaluate

SOLUTION: Let

so that

We find we need 3 dx but we have 2 dx. We compensate as follows:

Therefore,



Managed Security Service Provider


Privacy Statement - Copyright Information. - Contact Us

Integrated Publishing, Inc. - A (SDVOSB) Service Disabled Veteran Owned Small Business