Share on Google+Share on FacebookShare on LinkedInShare on TwitterShare on DiggShare on Stumble Upon
Custom Search
 
  

QUOTIENT

In this section three methods of integrating quotients are discussed, but only the second method will be proven.

The first method is to put the quotient into the form of the power of a function. The second method results in operations with logarithms. The third method is a special case in which the quotient must be simplified to use the sum rule.

METHOD 1

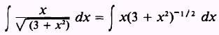
If we are given the integral

we observe that this integral may be written as

By letting

then

The only requirement for this to fit the form

is the factor for du of - 4. We accomplish this by multiplying 2x dx by - 4, giving - 8x dx, which is du. We then compensate for the factor - 4 by multiplying the integral by -1 /4.

Therefore,

EXAMPLE: Evaluate

SOLUTION:

Let

so that

The factor 2 is used in the integral to give du and is compensated for by multiplying the integral by 1/2.

Therefore,

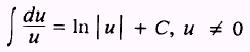
PRACTICE PROBLEMS: Evaluate the following integrals:

ANSWERS:

METHOD 2

In the previous formulas for integration of a function, the exponent was not allowed to be -1. In the special case of

where

we would have applied the following formula:

Formula.



Managed Security Service Provider


Privacy Statement - Copyright Information. - Contact Us

Integrated Publishing, Inc. - A (SDVOSB) Service Disabled Veteran Owned Small Business