Share on Google+Share on FacebookShare on LinkedInShare on TwitterShare on DiggShare on Stumble Upon
Custom Search
 
  

NATURAL LOGARITHMIC FUNCTIONS

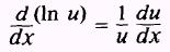
Theorem 8. The natural logarithm

has the derivative

for x > 0.

If u is a positive differentiable function of x, then by (5.9) and the chain rule,

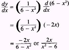
EXAMPLE: Find the derivative of the function

SOLUTION:



Managed Security Service Provider


Privacy Statement - Copyright Information. - Contact Us

Integrated Publishing, Inc. - A (SDVOSB) Service Disabled Veteran Owned Small Business