Share on Google+Share on FacebookShare on LinkedInShare on TwitterShare on DiggShare on Stumble Upon
Custom Search
 
  

TRIGONOMETRIC FUNCTIONS If we are given

we may state that, from the general formula,

Since

and

Then by substituting equations (5.4) and (5.5) into equation (5.3),

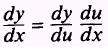
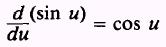
Now we are interested in finding the derivative of the function sin u, so we apply the chain rule

From the chain rule and equation (5.6), we find

In other words, to find the derivative of the sine of a function, we use the cosine of the function times the derivative of the function.

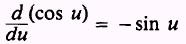
By a similar process we find the derivative of the cosine function to be

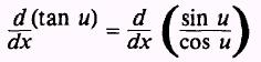
The derivatives of the other trigonometric functions may be found by expressing them in terms of the sine and cosine. That is,

and by substituting sin u for u, cos u for v, and du for dx in the expression of the quotient theorem

we have

Taking

and

and substituting into equation (5.7), we find that

Now using the chain rule and equation (5.8), we find

By stating the other trigonometric functions in terms of the sine and cosine and using similar processes, we may find the following derivatives:

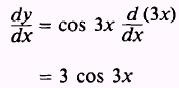
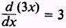
EXAMPLE: Find the derivative of the function

SOLUTION.

EXAMPLE. Find the derivative of the function

SOLUTION: Use the power theorem to find

Then find

and

Combining all of these, we find that

PRACTICE PROBLEMS:

Find the derivative of the following:

ANSWERS:



Managed Security Service Provider


Privacy Statement - Copyright Information. - Contact Us

Integrated Publishing, Inc. - A (SDVOSB) Service Disabled Veteran Owned Small Business