Share on Google+Share on FacebookShare on LinkedInShare on TwitterShare on DiggShare on Stumble Upon
Custom Search
 
  

INFINITESIMALS

In chapter 3, we found the slope of a curve at a given point by taking very small increments of y and x, and the slope was said to be equal to . This section will be a continuation of this concept.

DEFINITION

A variable that approaches 0 as a limit is called an infinitesimal. This may be written as

or

and means, as recalled from a previous section of this chapter, that the numerical value of V becomes and remains less than any positive number .

If the

lim V = L

then

lim V-L=0

which indicates the difference between a variable and its limit is an infinitesimal. Conversely, if the difference between a variable and a constant is an infinitesimal, then the variable approaches the constant as a limit.

EXAMPLE: As x becomes increasingly large, is the term an infinitesimal?

SOLUTION: By the definition of infinitesimal, if approaches 0 as x increases in value, then is an infinitesimal.

We see that and is therefore an infinitesimal.

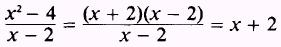
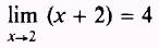
EXAMPLE: As x approaches 2, is the expression an

infinitesimal?

SOLUTION: By the converse of the definition of infinitesimal, if the difference between and 4 approaches 0, as x approaches 2, the expression is an infinitesimal. By direct substitution we find an indeterminate form; therefore, we make use of our knowledge of indeterminates and write

and

The difference between 4 and 4 is 0, so the expression is an infinitesimal as x approaches 2.

SUMS

An infinitesimal is a variable that approaches 0 as a limit. We state that and , in figure 4-2, are infinitesimals because they both approach 0 as shown.

Theorem 1. The algebraic sum of any number of infinitesimals is an infinitesimal.

In figure 4-2, as and approach 0, notice that their sum approaches 0; by definition this sum is an infinitesimal. This approach may be used for the sum of any number of infinitesimals.

Figure 4-2.-Sums of infinitesimals.

PRODUCTS

Theorem 2. The product of any number of infinitesimals is an infinitesimal.

In figure 4-3, the product of two infinitesimals, and , is an infinitesimal as shown. The product of any number of infinitesimals is also an infinitesimal by the same approach as shown for two numbers.

Theorem 3. The product of a constant and an infinitesimal is an infinitesimal.

This may be shown, in figure 4-3, by holding either : or constant and noticing their product as the variable approaches 0.

Figure 4-3.-Products of infinitesimals.

 

CONCLUSIONS

The term infinitesimal was used to describe the term x as it approaches zero. The quantity x was called an increment of x, where an increment was used to imply that we made a change in x. Thus x + x indicates that we are holding x constant and changing x by a variable amount which we will call Ax.

A very small increment is sometimes called a differential. A small x is indicated by dx. The differential of is d and that of y is dy. The limit of x as it approaches zero is, of course, zero; but that does not mean the ratio of two infinitesimals cannot be a real number or a real function of x. For instance, no matter how small x is chosen, the ratio will still be equal to 1.

In the section on indeterminate forms, a method for evaluating the form was shown. This form results whenever the limit takes the form of one infinitesimal over another. In every case the limit was a real number.



Managed Security Service Provider


Privacy Statement - Copyright Information. - Contact Us

Integrated Publishing, Inc. - A (SDVOSB) Service Disabled Veteran Owned Small Business