Share on Google+Share on FacebookShare on LinkedInShare on TwitterShare on DiggShare on Stumble Upon
Custom Search
 
  

LIMIT THEOREMS

To obtain results in calculus, we will frequently operate with limits. The proofs of theorems shown in this section will be omitted in the interest of brevity. The theorems will be stated and examples will be given.

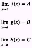
Assume that we have three simple functions of x. Further, let these functions [ f (x), g(x), and h (x)] have separate limits such that

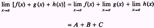
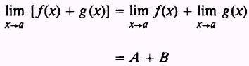
Theorem 1. The limit of the sum of two functions is equal to the sum of the limits:

This theorem may be extended to include any number of functions, such as

EXAMPLE: Find the limit of

SOLUTION:

Theorem 2. The limit of a constant, c, times a function, f(x), is equal to the constant, c, times the limit of the function:

EXAMPLE: Find the limit of

SOLUTION

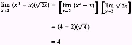
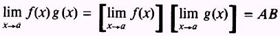
Theorem 3. The limit of the product of two functions is equal to the product of their limits:

EXAMPLE: Find the limit of

SOLUTION.

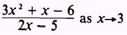
Theorem 4. The limit of the quotient of two functions is equal to the quotient of their limits, provided the limit of the divisor is not equal to zero:

EXAMPLE: Find the limit of

SOLUTION

PRACTICE PROBLEMS

Find the limits of the following, using the theorem indicated:

ANSWERS:



Managed Security Service Provider


Privacy Statement - Copyright Information. - Contact Us

Integrated Publishing, Inc. - A (SDVOSB) Service Disabled Veteran Owned Small Business