Share on Google+Share on FacebookShare on LinkedInShare on TwitterShare on DiggShare on Stumble Upon
Custom Search
 
  

OTHER PARAMETRIC EQUATIONS

EXAMPLE. Find the equations of the tangent line and the normal line and the lengths of the tangent and the normal for the curve represented by

and

at

given that

and

SOLUTION.- Since t equals 1 we write

x=1

and

y=3

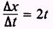
and

so that

The equation of the tangent line when t is equal to 1 is

y-3=1(x-1)

y=x+2

The equation of the normal line is

y- 3 = -1(x- 1)

y= -x+4

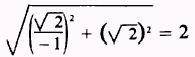
The length of the tangent is

The length of the normal is

EXAMPLE: Find the equations of the tangent line and the normal line and the lengths of the tangent and the normal to the curve represented by the parametric equations

and

at the point where

given that

and

SOLUTION. We know that

Then at the point where , we have

If is substituted in the parametric equations, then

and

The equation of the tangent line when is

or

The equation of the normal is

or

x-y=0

The length of the tangent is

The length of the normal is

The horizontal and vertical tangents of a curve can be found very easily when the curve is represented by parametric equations. The slope of a curve at any point equals zero when the tangent line is parallel to the X axis. In parametric equations, if x = x(t) and y = y(t), then the horizontal and vertical tangents can be found easily by setting

and

For the horizontal tangent solve equals zero for t and for the vertical tangent solve equals zero for t.

EXAMPLE: Find the points of contact of the horizontal and the vertical tangents to the curve represented by the parametric equations

and

Plot the graph of the curve by taking from 0 to 360 in increments of 30, given that

and

 

Figure 3-7.-Ellipse.

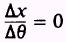
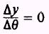
SOLUTION: The graph of the curve shows that the figure is an ellipse, figure 3-7; consequently, it will have two horizontal and two vertical tangents. The coordinates of the horizontal tangent points are found by first setting

This gives

so that

and

Substituting 0, we have

and

Substituting 180, we obtain

and

The coordinates of the points of contact of the horizontal tangents to the ellipse are (3,1) and (3,7).

The coordinates of the vertical tangent points of contact are found by setting

We find

from which

Substituting 90, we obtain

and

Substituting 270 gives

and

The coordinates of the points of contact of the vertical tangents to the ellipse are (- 1,4) and (7,4).



Managed Security Service Provider


Privacy Statement - Copyright Information. - Contact Us

Integrated Publishing, Inc. - A (SDVOSB) Service Disabled Veteran Owned Small Business