Share on Google+Share on FacebookShare on LinkedInShare on TwitterShare on DiggShare on Stumble Upon
Custom Search
 
  

MOTION IN A CIRCLE

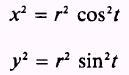
Consider the parametric equations

x = r cos t

and

y = r sin t

These equations describe the position of a point (x,y) at any time, t. They can be transposed into a single equation by squaring both sides of each equation to obtain

and adding

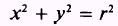
Rearranging, we have

but

so that

which is. the equation of a circle.

This means that if various values were assigned to t and the corresponding values of x and y were calculated and plotted, the result would be a circle. In other words, the point (x,y) moves in a circular path.

Using this example again, that is

and

x = r cos t

y = r sin t

and given that

and

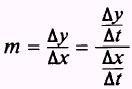
we are able to express the slope at any point on the circle in terms of t.

NOTE: We may find the expressions for and by using calculus, but we will accept them for the present without proof. If we know and , we may find which is the slope of a curve at any point.

That is,

By substituting, we find

In terms of a parameter, we see that

m = -cot t

while in terms of rectangular coordinates, we know from trigonometry that

 



Managed Security Service Provider


Privacy Statement - Copyright Information. - Contact Us

Integrated Publishing, Inc. - A (SDVOSB) Service Disabled Veteran Owned Small Business