Share on Google+Share on FacebookShare on LinkedInShare on TwitterShare on DiggShare on Stumble Upon
Custom Search
 
  

PRACTICE PROBLEMS:

1. Find the equation of the hyperbola with an eccentricity of , directrices , and foci at

2. Find the equation of the hyperbola with an eccentricity of 5/3, foci at ( 5,0), and directrices x = 9/5.

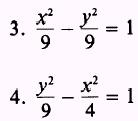
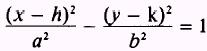
Find the foci, directrices, eccentricity, equations of the asymptotes, and length of the focal chord of the hyperbolas given in problems 3 and 4.

ANSWERS:

The hyperbola can be represented by an equation in the general form

Axe+Cy2+Dx+Ey+F=0

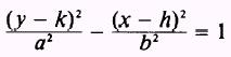
where the capital letters refer to independent constants and A and C have different signs. These equations can be reduced to standard form in the same manner in which similar equations for the ellipse were reduced to standard form. The standard forms with the center at (h,k) are given by the equations

and



Managed Security Service Provider


Privacy Statement - Copyright Information. - Contact Us

Integrated Publishing, Inc. - A (SDVOSB) Service Disabled Veteran Owned Small Business