Share on Google+Share on FacebookShare on LinkedInShare on TwitterShare on DiggShare on Stumble Upon
Custom Search
 
  

 
Tangent Distance

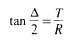
By studying figure 11-6, you can see that the solution for the tangent distance (T) is a simple right-triangle solution. In the figure, both T and R are sides of a right triangle, with T being opposite to angle N2. Therefore, from your knowledge of trigonometric functions you know that

Figure 11-6.Tangent distance.

and solving for T,

Chord Distance

By observing figure 11-7, you can see that the solution for the length of a chord, either a full chord (C) or the long chord (LC), is also a simple right-triangle solution. As shown in the figure, C/2 is one side of a right triangle and is opposite angle N2. The radius (R) is the hypotenuse of the same triangle. Therefore,

and solving for C:

Length of Curve

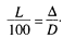
In the arc definition of the degree of curvature, length is measured along the arc, as shown in view A of figure 11-8, In this figure the relationship between D, D L, and a 100-foot arc length may be expressed as follows:

Figure 11-7.Chord distance.

Figure 11-8.-Length of curve.

Then, solving for L,

This expression is also applicable to the chord definition. However, L., in this case, is not the true arc length, because under the chord definition, the length of curve is the sum of the chord lengths (each of which is usually 100 feet or 100 meters), As an example, if, as shown in view B, figure 11-8, the central angle (A) is equal to three times the degree of curve (D), then there are three 100-foot chords; and the length of "curve" is 300 feet.



Managed Security Service Provider
 


Privacy Statement - Copyright Information. - Contact Us

Integrated Publishing, Inc. - A (SDVOSB) Service Disabled Veteran Owned Small Business