Share on Google+Share on FacebookShare on LinkedInShare on TwitterShare on DiggShare on Stumble Upon
Custom Search
 
  

 
DEGREE OF CURVATURE

The last of the elements listed above (degree of curve) deserves special attention. Curvature may be expressed by simply stating the length of the radius of the curve. That was done earlier in the chapter when typical radii for various roads were cited. Stating the radius is a common practice in land surveying and in the design of urban roads. For highway and railway work, however, curvature is expressed by the degree of curve. Two definitions are used for the degree of curve. These definitions are discussed in the following sections.

Degree of Curve (Arc Definition)

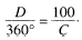
The arc definition is most frequently used in high-way design. This definition, illustrated in figure 11-4, states that the degree of curve is the central angle formed by two radii that extend from the center of a circle to the ends of an arc measuring 100 feet long (or 100 meters long if you are using metric units). Therefore, if you take a sharp curve, mark off a portion so that the distance along the arc is exactly 100 feet, and determine that the central angle is 12, then you have a curve for which the degree of curvature is 12; it is referred to as a 12 curve.

Figure 11-4.Degree of curve (arc definition).

By studying figure 11-4, you can see that the ratio between the degree of curvature (D) and 360 is the same as the ratio between 100 feet of arc and the circumference (C) of a circle having the same radius. That may be expressed as follows:

Since the circumference of a circle equals 2pR the above expression can be written as:

Solving this expression for R:

and also D:

For a 1 curve, D = 1; therefore R = 5,729.58 feet, or meters, depending upon the system of units you are using. In practice the design engineer usually selects the degree of curvature on the basis of such factors as the design speed and allowable superelevation. Then the radius is calculated.



Managed Security Service Provider
 


Privacy Statement - Copyright Information. - Contact Us

Integrated Publishing, Inc. - A (SDVOSB) Service Disabled Veteran Owned Small Business