Share on Google+Share on FacebookShare on LinkedInShare on TwitterShare on DiggShare on Stumble Upon
Custom Search
 
  

 
Converting Deflection Angles to Bearings

Converting deflection angles to bearings is simply the same process used for a different end result. Suppose that in figure 13-2, you know the deflection angles and want to determine the corresponding bearings. To do this, you must know the bearing of at least one of the traverse lines. Lets assume that you know the bearing of AB and want to determine the bearing of BC. You know the size of the deflection angle BBC is 110. The size of angle NBB is the same as the size of NAB, which is 20. The size of the angle of bearing of BC is

The figure shows you that BC lies in the second or SE quadrant; therefore, the full description of the bearing is S50E.

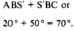
Converting Bearings to Interior and Exterior Angles

Converting a bearing to an interior or exterior angle is, once again, the same procedure applied for a different end result. Suppose that in figure 13-2, angle ABC is an interior angle and you want to determine the size. You know that angle ABS equals angle NAB, and therefore measures 20. You know from the bearing of BC that, angle SBC measures 50. The interior angle ABC is 

The sum of the interior and exterior angles at any traverse station or point equals the sum of all the angles around that point, or 360.

Therefore, the exterior angle at station B equals 360 minus the interior angle or

The process of measuring angles around a point to obtain a check on their sum, which should equal 36000, is sometimes referred to as CLOSING THE HORIZON.



Managed Security Service Provider
 


Privacy Statement - Copyright Information. - Contact Us

Integrated Publishing, Inc. - A (SDVOSB) Service Disabled Veteran Owned Small Business