Share on Google+Share on FacebookShare on LinkedInShare on TwitterShare on DiggShare on Stumble Upon
Custom Search
 
  

 
Converting Bearings to Deflection Angles

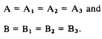
Converting bearings to deflection angles is based on the well-known geometrical proposition shown in figure 13-1.

Figure 13-1.-Parallel lines (meridians) intersected by a traverse line, showing relationship of corresponding angles.

This figure shows two meridians or parallel lines that are intersected by another line called a traverse. It can be proved geometrically that the angles A and Al, B and B1, A2 and A3, and B2 and B3 are equal (vertically opposite angles). It can also be shown that angles A = A2, and B = B2 (corresponding angles). Therefore, 

It can also be shown that the sum of the angles that form a straight line is 180; the sum of all the angles around the point is 360. Figure 13-2 shows a traverse containing traverse lines AB, BC, and CD. The meridians through the traverse stations are indicated by the lines NS, NS, and NS. Although meridians are not, in fact, exactly parallel, they are assumed to be, for conversion purposes. Consequently, we have here three parallel lines intersected by traverses, and the angles created will therefore be equal, as shown in figure 13-1.

The bearing of AB is given as N20E, which means that angle NAB measures 20. To deter-mine the deflection angle between AB and BC, you proceed as follows: If angle NAB measures 20, then angle NBB must also measure 20 because the two corresponding angles are equal. The bearing of BC is given as S50E, which means angle SBC measures 50E. The sum of angle

Figure 13-2.-Converting bearings to deflection angles from given traverse data.

NBB plus SBC plus the deflection angle between AB and BC (angle BBC) is 180. Therefore, the size of the deflection angle is 

The figure indicates that the angle should be turned to the right; therefore, the complete deflection angle description is 11R.

The bearing of CD is given as N70E; therefore, angle NCD measures70. Angle SCC is equal to angle SBC and therefore measures 50. The deflection angle between BC and CD equals 

The figure indicates that the angle should be turned to the left.



Managed Security Service Provider
 


Privacy Statement - Copyright Information. - Contact Us

Integrated Publishing, Inc. - A (SDVOSB) Service Disabled Veteran Owned Small Business