Share on Google+Share on FacebookShare on LinkedInShare on TwitterShare on DiggShare on Stumble Upon
Custom Search
 
  

 

One of the most useful properties of momentum is that it is conserved. This means that if no net external force acts upon an object, the momentum of the object remains constant. Using Equation 3-6, we can see that if force (F) is equal to zero, then P = 0. It is most important for collisions, explosions, etc., where the external force is negligible, and states that the momentum before the event (collision, explosion) equals the momentum following the event.

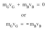
The conservation of momentum applies when a bullet is fired from a gun. Prior to firing the gun, both the gun and the bullet are at rest (i.e., VG and VBare zero), and therefore the total momentum is zero. This can be written as follows:

When the gun is fired, the momentum of the recoiling gun is equal and opposite to the momentum of the bullet. That is, the momentum of the bullet (mB vB) is equal to the momentum of the gun (mGvG), but of opposite direction.

The development of the law of conservation of momentum does not consider whether the collision is elastic or inelastic. In an elastic collision, both momentum and kinetic energy (i.e., energy due to an objects velocity) are conserved. A common example of an elastic collision is the head-on collision of two billiard balls of equal mass. In an inelastic collision, momentum is conserved, but system kinetic energy is not conserved. An example of an inelastic collission is the head-on collision of two automobiles where part of the initial kinetic energy is lost as the metal crumples during the impact. The concept of kinetic energy will be discussed further in Module 5 of this course.

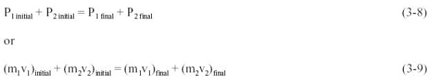
The law of conservation of momentum can be mathematically expressed in several different ways. In general, it can be stated that the sum of a system's initial momentum is equal to the sum of a system's final momentum.

In the case where a collision of two objects occurs, the conservation of momentum can be stated as follows.

In the case where two bodies collide and have identical final velocities, equation 3-10 applies.

For example, consider two railroad cars rolling on a level, frictionless track (see Figure 1). The cars collide, become coupled, and roll together at a final velocity (vf). The momentum before and after the collision is expressed with Equation 3-10.

Figure 1 Momentum

If the initial velocities of the two objects (vl and v2) are known, then the final velocity (vf) can be calculated by rearranging Equation 3-10 into Equation 3-11.

Example:

Consider that the railroad cars in Figure 1 have masses of rnl = 23001bm and m2 = 28001bm. The first car (ml) is moving at a velocity of 29 ft/sec and the second car (m2) is moving at a velocity of 11 ft/sec. The first car overtakes the second car and couples with it. Calculate the final velocity of the two cars.

Solution:

The final velocity (vf) can be easily calculated using Equation 3-8. mlvl + mavz



Managed Security Service Provider
 


Privacy Statement - Copyright Information. - Contact Us

Integrated Publishing, Inc. - A (SDVOSB) Service Disabled Veteran Owned Small Business