Share on Google+Share on FacebookShare on LinkedInShare on TwitterShare on DiggShare on Stumble Upon
Custom Search
 
  

 

Momentum is a measure of the motion of a moving body. An understanding of momentum and the conservation of momentum provides essential tools in solving physics problems.

EO 1.5DEFINE momentum.

EO 1.6EXPLAIN the conservation of momentum.

EO 1.7Using the conservation of momentum, CALCULATE the velocity for an object (or objects) following a collision of two objects.

Momentum

Momentum is a basic and widely applicable concept of physics. It is, in a sense, the measure of the motion of a moving body. It is the result of the product of the body's mass and the velocity at which it is moving. Therefore, momentum can be defined using Equation 3-3.

P=mv (3-3)

where:

P = momentum of the object (Kg-m/sec or ft-lbm/sec)

m = mass of the object (Kg or lbm)

v = velocity of the object (m/sec or ft/sec)

Momentum is a vector quantity since it results from the velocity of the object. If different momentum quantities are to be added vectorially, the direction of each momentum must be taken into account. However, to simplify the understanding of momentum, only straight line motions will be considered.

Example:

Calculate the momentum for a 161bm bowling ball rolling down a lane at 22 ft/sec.

Solution:

Force and Momentum

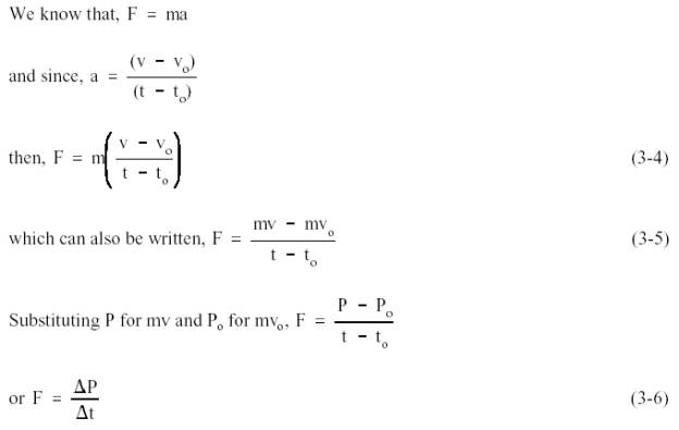
There is a direct relationship between force and momentum. The rate at which momentum changes with time is equal to the net force applied to an object. This relationship comes directly from Newton's second law of motion, F = ma. This is a special case of Newton's second law for a constant force which gives rise to a constant acceleration. The linking fact is that acceleration is the rate at which velocity changes with time. Therefore, we can determine the following:

From Equation 3-6, we can determine that force (F) is equal to the change in momentum per

time.

Example:

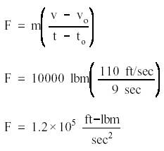
The velocity of a rocket must be increased by 110 ft/sec to achieve proper orbit around the earth. If the rocket has a mass of 5 tons and it takes 9 sec. to reach orbit, calculate the required thrust (force) to achieve this orbit.

Solution:

Even though the initial velocity (vo) and final velocity (v) are unknown, we do know the change in velocity (v-vo), which is 110 ft/sec. Therefore, using Equation 3-4 we can find the solution.



Managed Security Service Provider
 


Privacy Statement - Copyright Information. - Contact Us

Integrated Publishing, Inc. - A (SDVOSB) Service Disabled Veteran Owned Small Business