Share on Google+Share on FacebookShare on LinkedInShare on TwitterShare on DiggShare on Stumble Upon
Custom Search
 
  

 
of 1/M Plots

Because the subcritical multiplication factor is related to the value of keff, it is possible to monitor the approach to criticality through the use of the subcritical multiplication factor. As positive reactivity is added to a subcritical reactor, keff will get nearer to one. As keff gets nearer to one, the subcritical multiplication factor (M) gets larger. The closer the reactor is to criticality, the faster M will increase for equal step insertions of positive reactivity. When the reactor becomes critical, M will be infinitely large. For this reason, monitoring and plotting M during an approach to criticality is impractical because there is no value of M at which the reactor clearly becomes critical.

Instead of plotting M directly, its inverse (1/M) is plotted on a graph of 1/M versus rod height.

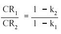
As control rods are withdrawn and keff f approaches one and M approaches infinity, 1/M approaches zero. For a critical reactor, 1/M is equal to zero. A true 1/M plot requires knowledge of the neutron source strength. Because the actual source strength is usually unknown, a reference count rate is substituted, and the calculation of the factor 1/M is through the use of Equation (4-5).

where:

M CR

In practice, the reference count rate used is the count rate prior to the beginning of the reactivity change. The startup procedures for many reactors include instructions to insert positive reactivity in incremental steps with delays between the reactivity insertions to allow time for subcritical multiplication to increase the steady-state neutron population to a new, higher level and allow more accurate plotting of 1/M. The neutron population will typically reach its new steady-state value within 1-2 minutes, but the closer the reactor is to criticality, the longer the time will be to stabilize the neutron population.

Example:

Given the following rod withdrawal data, construct a 1/M plot and estimate the rod position when criticality would occur. The initial count rate on the nuclear instrumentation prior to rod withdrawal is 50 cps.

Solution:

Step 1:Calculate 1/M for each of the rod positions using equation (4-5). The reference count rate is 50 cps at a rod position of zero.

Step 2:Plotting these values, as shown in Figure 1, and extrapolating to a 1/M value of 0 reveals that the reactor will go critical at approximately 13 inches of rod withdrawal.

Figure 1 1/M Plot vs. Rod Withdrawal

Summary

The important information in this chapter is summarized below.

Subcritical Multiplication Summary

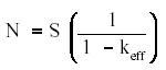
Subcritical multiplication is the effect of fissions in the fuel increasing the effective source strength of a reactor with a keff less than one.

Subcritical multiplication factor is the factor that relates the source level to the steady-state neutron level of the core.

The steady-state neutron level of a subcritical reactor can be calculated based on the source strength and keff using Equation (4-3).

The count rate expected in a subcritical reactor following a change in reactivity can be calculated based on the initial count rate, initial keff, and amount of reactivity addition using Equation (4-4).

1/M plots can be used to predict the point of criticality.



Managed Security Service Provider
 


Privacy Statement - Copyright Information. - Contact Us

Integrated Publishing, Inc. - A (SDVOSB) Service Disabled Veteran Owned Small Business