Share on Google+Share on FacebookShare on LinkedInShare on TwitterShare on DiggShare on Stumble Upon
Custom Search
 
  

 
MULTIPLICATION

Subcritical multiplication is the phenomenon that accounts for the changes in neutron flux that takes place in a Subcritical reactor due to reactivity changes. It is important to understand Subcritical multiplication in order to understand reactor response to changes in conditions.

EO 1.1DEFINE the following terms:

a. Subcritical multiplication

b. Subcritical multiplication factor

EO 1.2Given a neutron source strength and a subcritical system of known keff, CALCULATE the steady-state neutron level.

EO 1.3Given an initial count rate and keff, CALCULATE the final count rate that will result from the addition of a known amount of reactivity.

EO 1.4Given count rates vs. the parameter being adjusted, ESTIMATE the value of the parameter at which the reactor will become critical through the use of a 1/M plot.

Subcritical Multiplication Factor

When a reactor is in a shutdown condition, neutrons are still present to interact with the fuel. These source neutrons are produced by a variety of methods that were discussed in Module 2. If neutrons and fissionable material are present in the reactor, fission will take place. Therefore, a reactor will always be producing a small number of fissions even when it is shutdown.

Consider a reactor in which keff is 0.6. If 100 neutrons are suddenly introduced into the reactor, these 100 neutrons that start the current generation will produce 60 neutrons (100 x 0.6) from fission to start the next generation. The 60 neutrons that start the second generation will produce 36 neutrons (60 x 0.6) to start the third generation. The number of neutrons produced by fission in subsequent generations due to the introduction of 100 source neutrons into the reactor is shown below.

Because the reactor is subcritical, neutrons introduced in the reactor will have a decreasing effect on each subsequent generation. The addition of source neutrons to the reactor containing fissionable material has the effect of maintaining a much higher stable neutron level due to the fissions occurring than the neutron level that would result from the source neutrons alone. The effects of adding source neutrons at a rate of 100 neutrons per generation to a reactor with a keff of 0.6 are shown below.

A neutron source strength of 100 neutrons per generation will result in 250 neutrons per generation being produced from a combination of sources and fission in a shutdown reactor with a keff of 0.6. If the value of keff were higher, the source neutrons would produce a greater number of fission neutrons and their effects would be felt for a larger number of subsequent generations after their addition to the reactor.

The effect of fissions in the fuel increasing the effective source strength of a reactor with a keff of less than one is subcritical multiplication. For a given value of keff there exists a subcritical multiplication factor (M) that relates the source level to the steady-state neutron level of the core. If the value of keff is known, the amount that the neutron source strength will be multiplied (M) can easily be determined by Equation (4-1).

Example:

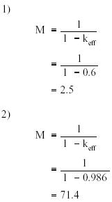
Calculate the subcritical multiplication factors for the following values of keff.

1) keff = 0.6

2) keff = 0.986

Solution: 1)

The example above illustrates that the subcritical multiplication factor will increase as positive reactivity is added to a shutdown reactor, increasing the value of keff. If the source strength of this reactor were 1000 neutrons/sec, the neutron level would increase from 2500 neutrons/second at a keff of 0.6 to a neutron level of 71,400 neutrons/sec at a keff of 0.986.

Effect of Reactivity Changes on Subcritical Multiplication

In a subcritical reactor, the neutron level is related to the source strength by Equation (4-2).

where:

N = (S) (M) (4-2)

N = neutron level

S = neutron source strength

M = subcritical multiplication factor

If the term M in Equation (4-2) is replaced by the expression 1/1- keff from Equation (4-1), the following expression results.

Example:

A reactor contains a neutron source that produces 110,000 neutrons per second. The reactor has a keff of 0.986. Calculate the stable total neutron production rate in the reactor.

Solution:

The neutron production rate is calculated using Equation (4-3).

To this point it has been necessary to know the neutron source strength of the reactor in order to use the concept of subcritical multiplication. In most reactors the actual strength of the neutron sources is difficult, if not impossible, to determine. Even though the actual source strength may not be known, it is still possible to relate the change in reactivity to a change in neutron level.

Consider a reactor at two different times when keff is two different values, kl and k2. The neutron level at each time can be determined based on the neutron source strength and the subcritical multiplication factor using Equation (4-3).

The equation for Nl can be divided by the equation for N2.

Because the source strength appears in both the numerator and denominator, it cancels out of the equation. Therefore, the neutron level at any time can be determined based on the neutron level present at any other time provided the values of keff or reactivity for both times are known.

The neutron level in a shutdown reactor is typically monitored using instruments that measure the neutron leakage out of the reactor. The neutron leakage is proportional to the neutron level in the reactor. Typical units for displaying the instrument reading are counts per second (cps). Because the instrument count rate is proportional to the neutron level, the above equation can be restated as shown in Equation (4-4).

where:

count rate at time 1 count rate at time 2 keff at time 1 keff at time 2

Equation (4-4) is very useful during the shutdown operation of a reactor. Before adding positive reactivity to a reactor, it is possible to predict the effect the reactivity addition will have on the neutron level.

Example:

A reactor that has a reactivity of -1000 pcm has a count rate of 42 counts per second (cps) on the neutron monitoring instrumentation. Calculate what the neutron level should be after a positive reactivity insertion of 500 pcm from the withdrawal of control rods.

Solution:

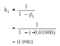
Step 1:Determine the initial value of keff for the core. 1

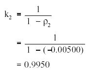
Step 2:Determine the final value of keff for the core. The final value of reactivity will be -500 pcm (-1000 + 500).

Step 3:Use Equation (4-4) to determine the final count rate.

Notice from this example that the count rate doubled as the reactivity was halved (e.g., reactivity was changed from -1000 pcm to -500 pcm).



Managed Security Service Provider
 


Privacy Statement - Copyright Information. - Contact Us

Integrated Publishing, Inc. - A (SDVOSB) Service Disabled Veteran Owned Small Business