Share on Google+Share on FacebookShare on LinkedInShare on TwitterShare on DiggShare on Stumble Upon
Custom Search
 
  

 
COEFFICIENTS

Changes in the physical properties of the materials in the reactor will result in changes in the reactivity. Reactivity coefficients are useful in quantifying the reactivity change that will occur due to the change in a physical property such as the temperature of the moderator or fuel.

EO 2.1 EXPLAIN the conditions of over moderation and under moderation.

EO 2.2 EXPLAIN why many reactors are designed to be operated in an under moderated condition.

EO 2.3 STATE the effect that a change in moderator temperature will have on the moderator to fuel ratio.

EO 2.4 DEFINE the temperature coefficient of reactivity.

EO 2.5 EXPLAIN why a negative temperature coefficient of reactivity is desirable.

EO 2.6 EXPLAIN why the fuel temperature coefficient is more effective than the moderator temperature coefficient in terminating a rapid power rise.

EO 2.7 EXPLAIN the concept of Doppler broadening of resonance absorption peaks.

EO 2.8 LIST two nuclides that are present in some types of reactor fuel assemblies that have significant resonance absorption peaks.

EO 2.9 DEFINE the pressure coefficient of reactivity.

EO 2.10 EXPLAIN why the pressure coefficient of reactivity is usually negligible in a reactor cooled and moderated by a subcooled liquid.

EO 2.11 DEFINE the void coefficient of reactivity.

EO 2.12 IDENTIFY the moderator conditions under which the void coefficient of reactivity becomes significant.

Moderator Effects

As discussed in the previous module, a moderator possesses specific desirable characteristics.

(a) large neutron scattering cross section (b) low neutron absorption cross section (c) large neutron energy loss per collision

With the exception of the Liquid Metal Fast Breeder Reactor (LMFBR), the remaining major reactor types that are currently employed use moderating materials to reduce fission neutron energies to the thermal range. Light moderators (composed of light nuclei) are found to be more effective than heavy moderators because the light moderator removes more energy per collision than a heavy moderator. Therefore, the neutrons reach thermal energy more rapidly and they are less likely to be lost through resonance absorption.

As discussed in a previous module, the ability of a given material to slow down neutrons is referred to as the macroscopic slowing down power (MSDP) and is defined as the product of the logarithmic energy decrement per collision () times the macroscopic scattering cross section for neutrons as follows.

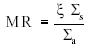
Macroscopic slowing down power indicates how rapidly slowing down occurs in the material in question, but it does not completely define the effectiveness of the material as a moderator. An element such as boron has a high logarithmic energy decrement and a good slowing down power, but is a poor moderator. It is a poor moderator because of its high probability of absorbing neutrons, and may be accounted for by dividing the macroscopic slowing down power by the macroscopic absorption cross section. This relationship is called the moderating ratio

The moderating ratio is merely the ratio of slowing down power to the macroscopic absorption cross section. The higher the moderating ratio, the more effectively the material performs as a moderator.

Another ratio, the moderator-to fuel ratio (), is very important in the discussion of moderators. As the reactor designer increases the amount of moderator in the core (that is, increases), neutron leakage decreases. Neutron absorption in the moderator () increases and causes a decrease in the thermal utilization factor. Having insufficient moderator in the core (that is, decreases) causes an increase in slowing down time and results in a greater loss of neutrons by resonance absorption. This also causes an increase in neutron leakage. The effects of varying the moderator-to-fuel ratio on the thermal utilization factor and the resonance probability are shown in Figure 2.

Figure 2 Effects of Over and Under Moderation on keff,

Because the moderator-to-fuel ratio affects the thermal utilization factor and the resonance escape probability, it also affects keff.The remaining factors in the six factor formula are also affected by the moderator-to-fuel ratio, but to a lesser extent than f and p. As illustrated in Figure 2, which is applicable to a large core fueled with low-enriched fuel, there is an optimum point above which increasing the moderator-to-fuel ratio decreases keff due to the dominance of the decreasing thermal utilization factor. Below this point, a decrease in the moderator-to-fuel ratio decreases keff due to the dominance of the increased resonance absorption in the fuel. If the ratio is above this point, the core is said to be over moderated, and if the ratio is below this point, the core is said to be under moderated.

In practice, water-moderated reactors are designed with a moderator-to-fuel ratio so that the reactor is operated in an under moderated condition. The reason that some reactors are designed to be under moderated is if the reactor were over moderated, an increase in temperature would decrease the due to the expansion of the water as its density became lower. This decrease in would be a positive reactivity addition, increasing keff and further raising power and temperature in a dangerous cycle. If the reactor is under moderated, the same increase in temperature results in the addition of negative reactivity, and the reactor becomes more self-regulating.



Managed Security Service Provider
 


Privacy Statement - Copyright Information. - Contact Us

Integrated Publishing, Inc. - A (SDVOSB) Service Disabled Veteran Owned Small Business