Share on Google+Share on FacebookShare on LinkedInShare on TwitterShare on DiggShare on Stumble Upon
Custom Search
 
  

 
Coefficients and Reactivitv Defects

The amount of reactivity ( ) in a reactor core determines what the neutron population, and consequently the reactor power, are doing at any given time. The reactivity can be effected by many factors (for example, fuel depletion, temperature, pressure, or poisons). The next several chapters discuss the factors affecting reactivity and how they are used to control or predict reactor behavior.

To quantify the effect that a variation in parameter (that is, increase in temperature, control rod insertion, increase in neutron poison) will have on the reactivity of the core, reactivity coefficients are used. Reactivity coefficients are the amount that the reactivity will change for a given change in the parameter. For instance, an increase in moderator temperature will cause a decrease in the reactivity of the core. The amount of reactivity change per degree change in the moderator temperature is the moderator temperature coefficient. Typical units for the moderator temperature coefficient are pcm/F. Reactivity coefficients are generally symbolized by , where x represents some variable reactor parameter that affects reactivity. The definition of a reactivity coefficient in equation format is shown below.

If the parameter x increases and positive reactivity is added, then , is positive. If the parameter x increases and negative reactivity is added, then is negative.

Reactivity defects () are the total reactivity change caused by a variation in a parameter. Reactivity defects can be determined by multiplying the change in the parameter by the average value of the reactivity coefficient for that parameter. The equation below shows the general method for relating reactivity coefficients to reactivity defects.

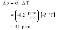
Example:

The moderator temperature coefficient for a reactor is -8.2 pcmpF. Calculate the reactivity defect that results from a temperature decrease of 5F.

Solution:

The reactivity addition due to the temperature decrease was positive because of the negative temperature coefficient.

Summary

The important information in this chapter is summarized below.

Reactivity Summary

The number of neutrons present in the core after a given number of generations is calculated using Equation (3-4).

Reactivity is the fractional change in neutron population per generation.

Reactivity and keff are represented in Equation (3-5) and Equation (3-6),

respectively.

The relationship between units of reactivity are listed below.

A reactivity coefficient is the amount of change in reactivity per unit change in the parameter. A reactivity defect is the total reactivity change caused by a change in the parameter. The reactivity defect is the product of the reactivity coefficient and the magnitude of the parameter change.



Managed Security Service Provider
 


Privacy Statement - Copyright Information. - Contact Us

Integrated Publishing, Inc. - A (SDVOSB) Service Disabled Veteran Owned Small Business