Share on Google+Share on FacebookShare on LinkedInShare on TwitterShare on DiggShare on Stumble Upon
Custom Search
 
  

 

After increasing in number as a result of some fast fissions, the neutrons continue to diffuse through the reactor. As the neutrons move they collide with nuclei of fuel and non-fuel material and moderator in the reactor losing part of their energy in each collision and slowing down. While they are slowing down through the resonance region of uranium-238, which extends from about 6 eV to 200 eV, there is a chance that some neutrons will be captured. The probability that a neutron will not be absorbed by a resonance peak is called the resonance escape probability. The resonance escape probability (p) is defined as the ratio of the number of neutrons that reach thermal energies to the number of fast neutrons that start to slow down. This ratio is shown below.

The value of the resonance escape probability is determined largely by the fuel-moderator arrangement and the amount of enrichment of uranium-235 (if any is used). To undergo resonance absorption, a neutron must pass close enough to a uranium-238 nucleus to be absorbed while slowing down. In a homogeneous reactor the neutron does its slowing down in the region of the fuel nuclei, and this condition is easily met. This means that a neutron has a high probability of being absorbed by uranium-238 while slowing down; therefore, its escape probability is lower. In a heterogeneous reactor, however, the neutron slows down in the moderator where there are no atoms of uranium-238 present. Therefore, it has a low probability of undergoing resonance absorption, and its escape probability is higher.

The value of the resonance escape probability is not significantly affected by pressure or poison concentration. In water moderated, low uranium-235 enrichment reactors, raising the temperature of the fuel will raise the resonance absorption in uranium-238 due to the doppler effect (an apparent broadening of the normally narrow resonance peaks due to thermal motion of nuclei). The increase in resonance absorption lowers the resonance escape probability, and the fuel temperature coefficient for resonance escape is negative (explained in detail later). The temperature coefficient of resonance escape probability for the moderator temperature is also negative. As water temperature increases, water density decreases. The decrease in water density allows more resonance energy neutrons to enter the fuel and be absorbed. The value of the resonance escape probability is always slightly less than one (normally 0.95 to 0.99).

The product of the fast fission factor and the resonance escape probability ( p) is the ratio of the number of fast neutrons that survive slowing down (thermalization) compared to the number of fast neutrons originally starting the generation.

Thermal Utilization Factor, M

Once thermalized, the neutrons continue to diffuse throughout the reactor and are subject to absorption by other materials in the reactor as well as the fuel. The thermal utilization factor describes how effectively thermal neutrons are absorbed by the fuel, or how well they are utilized within the reactor. The thermal utilization factor (f) is defined as the ratio of the number of thermal neutrons absorbed in the fuel to the number of thermal neutrons absorbed in any reactor material. This ratio is shown below.

The thermal utilization factor will always be less than one because some of the thermal neutrons absorbed within the reactor will be absorbed by atoms of non-fuel materials.

An equation can be developed for the thermal utilization factor in terms of reaction rates as follows.

The superscripts U, m, and p refer to uranium, moderator, and poison, respectively. In a heterogeneous reactor, the flux will be different in the fuel region than in the moderator region due to the high absorption rate by the fuel. Also, the volumes of fuel, moderator, and poisons will be different. Although not shown in the above equation, other non-fuel materials, such as core construction materials, may absorb neutrons in a heterogeneous reactor. These other materials are often lumped together with the superscript designation OS, for "other stuff." To be completely accurate, the above equation for the thermal utilization factor should include all neutron-absorbing reactor materials when dealing with heterogeneous reactors. However, for the purposes of this text, the above equation is satisfactory.

In a homogeneous reactor the neutron flux seen by the fuel, moderator, and poisons will be the same. Also, since they are spread throughout the reactor, they all occupy the same volume. This allows the previous equation to be rewritten as shown below.

Equation (3-1) gives an approximation for a heterogeneous reactor if the fuel and moderator are composed of small elements distributed uniformly throughout the reactor.

Since absorption cross sections vary with temperature, it would appear that the thermal utilization factor would vary with a temperature change. But, substitution of the temperature correction formulas (see Module 2) in the above equation will reveal that all terms change by the same amount, and the ratio remains the same. In heterogeneous water-moderated reactors, there is another important factor. When the temperature rises, the water moderator expands, and a significant amount of it will be forced out of the reactor core. This means that Nm, the number of moderator atoms per cm3, will be reduced, making it less likely for a neutron to be absorbed by a moderator atom. This reduction in Nm results in an increase in thermal utilization as moderator temperature increases because a neutron now has a better chance of hitting a fuel atom. Because of this effect, the temperature coefficient for the thermal utilization factor is positive. The amount of enrichment of uranium-235 and the poison concentration will affect the thermal utilization factor in a similar manner as can be seen from the equation above.

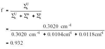
Example:

Calculate the thermal utilization factor for a homogeneous reactor. The macroscopic absorption cross section of the fuel is 0.3020 cm-1, the macroscopic absorption cross section of the moderator is 0.0104 cm-1, and the macroscopic absorption cross section of the poison is 0.0118 cm-1.

Solution:



Managed Security Service Provider
 


Privacy Statement - Copyright Information. - Contact Us

Integrated Publishing, Inc. - A (SDVOSB) Service Disabled Veteran Owned Small Business