Share on Google+Share on FacebookShare on LinkedInShare on TwitterShare on DiggShare on Stumble Upon
Custom Search
 
  

 

We have discussed the averages and the means of sets of values. While the mean is a useful tool in describing a characteristic of a set of numbers, sometimes it is valuable to obtain information about the mean. There is a second number that indicates how representative the mean is of the data. For example, in the group of numbers, 100, 5, 20, 2, the mean is 31.75. If these data points represent tank levels for four days, the use of the mean level, 31.75, to make a decision using tank usage could be misleading because none of the data points was close to the mean.

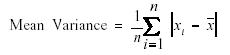
This spread, or distance, of each data point from the mean is called the variance. The variance of each data point is calculated by:

where

The variance of each data point does not provide us with any useful information. But if the mean of the variances is calculated, a very useful number is determined. The mean variance is the average value of the variances of a set of data. The mean variance is calculated as follows:

The mean variance, or mean deviation, can be calculated and used to make judgments by providing information on the quality of the data. For example, if you were trying to decide whether to buy stock, and all you knew was that this month's average price was $10, and today's price is $9, you might be tempted to buy some. But, if you also knew that the mean variance in the stock's price over the month was $6, you would realize the stock had fluctuated widely during the month. Therefore, the stock represented a more risky purchase than just the average price indicated.

It can be seen that to make sound decisions using statistical data, it is important to analyze the data thoroughly before making any decisions.

Example:

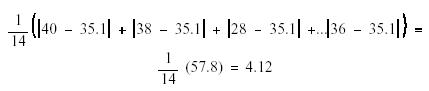
Calculate the variance and mean variance of the following set of hourly tank levels. Assume the tank is a 100 gal. tank. Based on the mean and the mean variance, would you expect the tank to be able to accept a 40% (40 gal.) increase in level at any time?

Solution:

The mean is

The mean variance is:

From the tank mean of 35.1 %, it can be seen that a 40% increase in level will statistically fit into the tank; 35.1 + 40 <100%. But, the mean doesn't tell us if the level varies significantly over time. Knowing the mean variance is 4.12% provides the additional information. Knowing the mean variance also allows us to infer that the level at any given time (most likely) will not be greater than 35.1 + 4.12 = 39.1%; and 39.1 + 40 is still less than 100%. Therefore, it is a good assumption that, in the near future, a 40% level increase will be accepted by the tank without any spillage.



Managed Security Service Provider
 


Privacy Statement - Copyright Information. - Contact Us

Integrated Publishing, Inc. - A (SDVOSB) Service Disabled Veteran Owned Small Business