Share on Google+Share on FacebookShare on LinkedInShare on TwitterShare on DiggShare on Stumble Upon
Custom Search
 
  

 

Frequency Distribution

When groups of numbers are organized, or ordered by some method, and put into tabular or graphic form, the result will show the "frequency distribution" of the data.

Example:

A test was given and the following grades were received: the number of students receiving each grade is given in parentheses.

99(1), 98(2), 96(4), 92(7), 90(5), 88(13), 86(11), 83(7), 80(5), 78(4), 75(3), 60(1)

The data, as presented, is arranged in descending order and is referred to as an ordered array. But, as given, it is difficult to determine any trend or other information from the data. However, if the data is tabled and/or plotted some additional information may be obtained. When the data is ordered as shown, a frequency distribution can be seen that was not apparent in the previous list of grades.

In summary, one method of obtaining additional information from a set of data is to determine the frequency distribution of the data. The frequency distribution of any one data point is the number of times that value occurs in a set of data. As will be shown later in this chapter, this will help simplify the calculation of other statistically useful numbers from a given set of data.

The Mean

One of the most common uses of statistics is the determination of the mean value of a set of measurements. The term "Mean" is the statistical word used to state the "average" value of a set of data. The mean is mathematically determined in the same way as the "average" of a group of numbers is determined.

MA-05 Page 2 Rev. 0

Higher Concepts of Mathematics STATISTICS

The arithmetic mean of a set of N measurements, X1, X2, X3, ..., XN is equal to the sum of the measurements divided by the number of data points, N. Mathematically, this is expressed by the following equation:

where

The symbol Sigma () is used to indicate summation, and i = 1 to n indicates that the values of x; from i = 1 to i = n are added. The sum is then divided by the number of terms added, n.

Example:

Determine the mean of the following numbers:

5, 7, 1, 3,4

Solution:

where

substituting

4 is the mean.

Example:

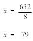
Find the mean of 67, 88, 91, 83, 79, 81, 69, and 74. Solution:

The sum of the scores is 632 and n = 8, therefore

In many cases involving statistical analysis, literally hundreds or thousands of data points are involved. In such large groups of data, the frequency distribution can be plotted and the calculation of the mean can be simplified by multiplying each data point by its frequency distribution, rather than by summing each value. This is especially true when the number of discrete values is small, but the number of data points is large.

Therefore, in cases where there is a recurring number of data points, like taking the mean of a set of temperature readings, it is easier to multiply each reading by its frequency of occurrence (frequency of distribution), then adding each of the multiple terms to find the mean. This is one application using the frequency distribution values of a given set of data.

Example:

Given the following temperature readings,

573, 573, 574, 574, 574, 574, 575, 575, 575, 575, 575, 576, 576, 576, 578 Solution:

Determine the frequency of each reading.

Then calculate the mean,



Managed Security Service Provider
 


Privacy Statement - Copyright Information. - Contact Us

Integrated Publishing, Inc. - A (SDVOSB) Service Disabled Veteran Owned Small Business