Share on Google+Share on FacebookShare on LinkedInShare on TwitterShare on DiggShare on Stumble Upon
Custom Search
 
  

 

Fractional Equations

A fractional equation is an equation containing a fraction. The fraction can be either a common fraction or a decimal fraction. The unknowns can occupy any position in the equation. They may or may not be part of the fraction. If they are part of the fraction, they can be either in the numerator or the denominator. The following are three examples of fractional equations:

Fractional equations are solved using the same axioms and approach used for other algebraic equations. However, the initial step is to remove the equation from fractional form. This is done by determining the lowest common denominator (LCD) for all of the fractions in the equation and then multiplying both sides of the equation by this common denominator. This will clear the equation of fractions.

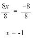
Example 1:

Solve the fractional equation

Solution:

Multiply both sides of the equation by the LCD (x).

Now solve the equation like an ordinary linear equation.

Step 1. Transpose the +8 from the left-hand to the righthand side of the equation by changing its sign.

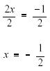
8x=0-8

8x = -8

Step 2. Using Axiom 4, divide both sides of the equation by 8.

Step 3. Check the root.

The root checks.

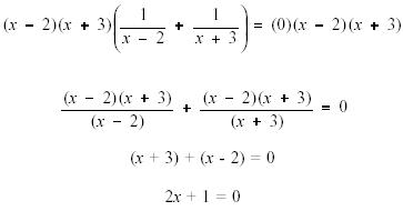
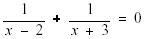
Example 2:

Solve the fractional equation

Solution:

The LCD is (x-2)(x+3); therefore, multiply both sides of the equation by (x - 2)(x+3).

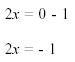
Now solve the equation like an ordinary linear equation.

Step 1.Transpose the +1 from the left-hand to the right-hand side of the equation by changing its sign.

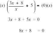
Step 2. Using Axiom 4, divide both sides of

the equation by 2.

Step 3.Check the root.

The root checks.



Managed Security Service Provider
 


Privacy Statement - Copyright Information. - Contact Us

Integrated Publishing, Inc. - A (SDVOSB) Service Disabled Veteran Owned Small Business