Share on Google+Share on FacebookShare on LinkedInShare on TwitterShare on DiggShare on Stumble Upon
Custom Search
 
  

 

These four axioms are used to solve linear equations with three steps:

Step 1.Using the addition and subtraction axioms, Axioms 1 and 2, eliminate all terms with no unknowns from the left-hand side of the equation and eliminate all terms with the unknowns from the right-hand side of the equation.

Step 2.Using the multiplication and division axioms, Axioms 3 and 4, eliminate the coefficient from the unknowns on the left-hand side of the equation.

Step 3. Check the root by substituting it for the unknowns in the original equation.

Example 1:

Solve the equation 3x + 7 = 13.

Solution:

Step 1. Using Axiom 2, subtract 7 from both sides of the equation.

3x+7-7=13-7

3x = 6

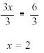
Step 2. Using Axiom 4, divide both sides of the equation by 3.

Step 3. Check the root.

3(2)+7=6+7=13

The root checks.

Example 2:

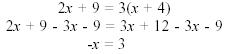
Solve the equation 2x + 9 = 3(x + 4).

Solution:

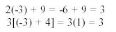
Step 1. Using Axiom 2, subtract 3x and 9 from both sides of the equation.

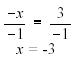
Step 2. Using Axiom 4, divide both sides of the equation by -1.

Step 3.Check the root.

The root checks.

These same steps can be used to solve equations that include several unknowns. The result is an expression for one of the unknowns in terms of the other unknowns. This is particularly important in solving practical problems. Often the known relationship among several physical quantities must be rearranged in order to solve for the unknown quantity. The steps are performed so that the unknown quantity is isolated on the left-hand side of the equation.

Example 1:

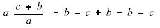
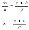
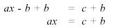
Solve the equation ax - b = c for x in terms of a, b, and c. Solution:

Step 1.Using Axiom 1, add b to both sides of the equation.

Step 2.Using Axiom 4, divide both sides of the equation by a.

Step 3.Check the root.

The root checks.

Example 2:

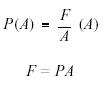
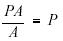
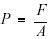
The equation relating the pressure, P, to the force, F, and the area, A, over which the force is applied is . Solve this equation for F, in terms of P and A.

Solution:

Step 1.Axioms 1 and 2 do not help solve the problem, so go to Step 2.

Step 2.Using Axiom 3, multiply both sides of the equation by A.

Step 3.Check the root.

The root checks.

The addition or subtraction of the same quantity from both sides of an equation may be accomplished by transposing a quantity from one side of the equation to the other. Transposing is a shortened way of applying the addition or subtraction axioms. Any term may be transposed or transferred from one side of an equation to the other if its sign is changed. Thus, in the equation 5x + 4 = 7, the 4 can be transposed to the other side of the equation by changing its sign. The result is 5x = 7 - 4 or 5x = 3. This corresponds to applying the subtraction axiom, Axiom 2, subtracting 4 from both sides of the equation.

Example:

Solve the equation 4x + 3 = 19 by transposing.

Solution:

Step 1.Transpose the 3 from the left-hand to the right-hand side of the equation by changing its sign.

4x =19-3

4x = 16

Step 2.Using Axiom 4, divide both sides of the equation by 4.

Step 3.Check the root.

4(4)+3=16+3=19

The root checks.



Managed Security Service Provider
 


Privacy Statement - Copyright Information. - Contact Us

Integrated Publishing, Inc. - A (SDVOSB) Service Disabled Veteran Owned Small Business