Share on Google+Share on FacebookShare on LinkedInShare on TwitterShare on DiggShare on Stumble Upon
Custom Search
 
  

 

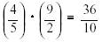
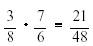
The methods of multiplication of fractions differ from addition and subtraction. The operation of multiplication is performed on both the numerator and the denominator.

Step 1: Multiply the numerators.

Step 2: Multiply the denominators.

Step 3: Reduce fraction to lowest terms.

Example:

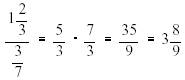
Multiplication of mixed numbers may be accomplished by changing the mixed number to an

improper fraction and then multiplying the numerators and denominators.

Example:

Division

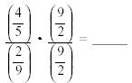
The division of fractions can be performed by two methods. The first method employs the basic concept of multiplying by 1.

Example:

Solution:

 

Step 1:Multiply by which is the same as multiplying by 1.

Step 2:Looking at the two division fractions we see that . This leaves us with the following.

Step 3:Multiply numerators and denominators.

Example:

Solution:

Step 1:

Step 2:Multiplication of division fractions equals 1.

Step 3:Multiplication of numerators and denominators yields:

The second method for dividing fractions is really a short cut to the first method. When dividing one fraction by another, first invert the divisor fraction and then multiply.

Example:

Solution:

Step 1:Invert the divisor fraction

Step 2:Multiply the dividend fraction,

Step 3:Reduce fraction to lowest terms.

Division of mixed numbers may be accomplished by changing the mixed number into an improper fraction (alb), inverting the divisor, and proceeding as in multiplication.

Invert the divisor fraction and then follow the rule for multiplication.

Example:

Summary

The important information from this chapter is summarized below.



Managed Security Service Provider
 


Privacy Statement - Copyright Information. - Contact Us

Integrated Publishing, Inc. - A (SDVOSB) Service Disabled Veteran Owned Small Business