Share on Google+Share on FacebookShare on LinkedInShare on TwitterShare on DiggShare on Stumble Upon
Custom Search
 
  

 
Common Denominator Using Primes

A prime number is a whole number (integer) whose only factors are itself and one. The first prime numbers are:

1, 2, 3, 5, 7, 11, 13, 17, 19, 23, 29.....

By dividing by primes, you can find that the primes of 105 are:

The primes of 105 are: 3, 5, 7

A systematic way of finding the prime factors of larger positive integers is illustrated below. The primes are tried in order, as factors, using each as many times as possible before going on to the next. The result in this case is:

To add several fractions with different denominators, follow these steps:

Step 1:Express denominators in prime factors.

Step 2:Determine the least common denominator by using all of the prime numbers from the largest denominator, and then include each prime number from the other denominators so that each denominator can be calculated from the list of primes contained in the LCD.

Step 3:Rewrite using the least common denominator.

Step 4:Add the fractions.

Example 1:

Solution:

Step 1:Find primes of each denominator.

Step 2:In the example, 15 is the largest denominator, so use the 5 and the 3; now look at the second denominator's primes-the five already appears in the list, but the 2 does not, so use the 2.

5x3x2=30

Step 3:Rewrite with least common denominators.

Step 4:Add the new fractions.

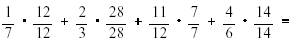
Example 2:

Solution:

Step 1:Find primes of each denominator.

Step 2:12 is the largest, so start with

2x2x3

Comparing this list to the others, the denominators of 3, 12, and 6 can all be calculated from the list, but 7 cannot be, so a 7 must be included in the list.

2x2x3x7=84

Step 3:Rewrite the equation

Step 4:Add

Addition and Subtraction

Denominators of fractions being added or subtracted must be the same.

The resulting sum or difference is then the sum or difference of the numerators of the fractions being added or subtracted.

Examples:



Managed Security Service Provider
 


Privacy Statement - Copyright Information. - Contact Us

Integrated Publishing, Inc. - A (SDVOSB) Service Disabled Veteran Owned Small Business