Share on Google+Share on FacebookShare on LinkedInShare on TwitterShare on DiggShare on Stumble Upon
Custom Search
 
  

 

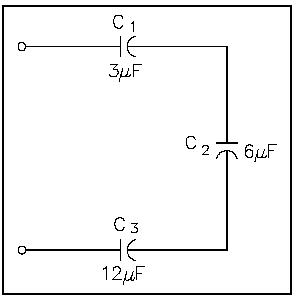
Example 1: Find the total capacitance of 3 F, 6 F, and 12 F capacitors connected in series

(Figure 15).

Figure 15 Example 1 - Capacitors Connected in Series

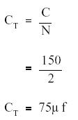
Example 2: Find the total capacitance and working voltage of two capacitors in series, when both have a value of 150 F, 120 V (Figure 16).

Total voltage that can be applied across a group of capacitors in series is equal to the sum of the working voltages of the individual capacitors.

working voltage = 120 V + 120 V = 240 volts

Figure 16 Example 2 - Capacitors Connected in Series

Example 3: Find the total capacitance of three capacitors in parallel, if the values are 15 F-50 V, 10 F-100 V, and 3 F-150 V (Figure 17). What would be the working voltage?

The working voltage of a group of capacitors in parallel is only as high as the lowest working voltage of an individual capacitor. Therefore, the working voltage of this combination is only 50 volts.

Figure 17 Example 3 - Capacitors Connected in Parallel

 



Managed Security Service Provider
 


Privacy Statement - Copyright Information. - Contact Us

Integrated Publishing, Inc. - A (SDVOSB) Service Disabled Veteran Owned Small Business