Share on Google+Share on FacebookShare on LinkedInShare on TwitterShare on DiggShare on Stumble Upon
Custom Search
 
  

 

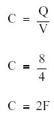
Capacitance is the ability to store an electrical charge. Capacitance is equal to the amount of charge that can be stored divided by the applied voltage, as shown in Equation (3-7).

Where

The unit of capacitance is the farad (F). A farad is the capacitance that will store one coulomb of charge when one volt is applied across the plates of the capacitor.

The dielectric constant (K) describes the ability of the dielectric to store electrical energy. Air is used as a reference and is given a dielectric constant of 1. Therefore, the dielectric constant is unitless. Some other dielectric materials are paper, teflon, bakelite, mica, and ceramic.

The capacitance of a capacitor depends on three things.

1. Area of conductor plates

2. Separation between the plates

3. Dielectric constant of insulation material

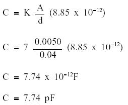
Equation (3-8) illustrates the formula to find the capacitance of a capacitor with two parallel plates.

where

Example 1: Find the capacitance of a capacitor that stores 8 C of charge at 4 V.

Example 2: What is the charge taken on by a 5F capacitor at 2 volts?

Example 3: What is the capacitance if the area of a two plate mica capacitor is 0.0050 m2 and

the separation between the plates is 0.04 m? The dielectric constant for mica

is 7.

 



Managed Security Service Provider
 


Privacy Statement - Copyright Information. - Contact Us

Integrated Publishing, Inc. - A (SDVOSB) Service Disabled Veteran Owned Small Business