Share on Google+Share on FacebookShare on LinkedInShare on TwitterShare on DiggShare on Stumble Upon
Custom Search
 
  

 

All of the rules governing DC circuits that have been discussed so far can now be applied to analyze complex DC circuits. To apply these rules effectively, loop equations, node equations, and equivalent resistances must be used.

EO 1.15 Given a simple DC circuit, DETERMINE the equivalent resistance of series and parallel combinations of elements.

Loop Equations

As we have already learned, Kirchhoff's Laws provide a practical means to solve for unknowns in a circuit. Kirchhoff's current law states that at any junction point in a circuit, the current arriving is equal to the current leaving. In a series circuit the current is the same at all points in that circuit. In parallel circuits, the total current is equal to the sum of the currents in each branch. Kirchhoff's voltage law states that the sum of all potential differences in a closed loop equals zero.

Using Kirchhoff's laws, it is possible to take a circuit with two loops and several power sources (Figure 37) and determine loop equations, solve loop currents, and solve individual element currents.

Figure 37 Example Circuit for Loop Equations

The first step is to draw an assumed direction of current flow (Figure 38). It does not matter whether the direction is correct. If it is wrong, the resulting value for current will be negative.

Figure 38 Assumed Direction of Current Flow

Second, mark the polarity of voltage across each component (Figure 39). It is necessary to choose a direction for current through the center leg, but it is not necessary to put in a new variable. It is simply IZ - I1.

Figure 39 Marking Polarity

Third, apply Kirchhoff's voltage law to loops one and two by picking a point in each loop and writing a loop equation of the voltage drops around the loop; then set the equation equal to zero.

Figure 40 Applying Voltage Law to Loop 1

Figure 40 shows Loop one.

From Point A to Point B, there is an increase in voltage of 8 volts. From Point C to Point D, there is an increase in voltage of 200 (12 - 11).From Point D to Point E, there is a decrease in voltage of 10 volts. From Point E to Point A, there is a voltage decrease of 501, volts. The result in equation form is illustrated in equation (2-16).

Using the same procedure for Loop 2 of Figure 39, the resulting equation is shown in equation (2-18).

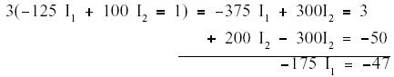
Fourth, solve equations (2-17) and (2-18) simultaneously. First, rearrange and combine like terms in the equation for Loop 1.

Divide both sides by two.

Rearrange and combine like terms in the Loop 2 equation.

Multiplying the Loop 1 equation by 3, and add it to the Loop 2 equation.

Solving for 11:

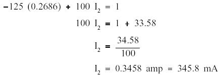
Solving for 12 using the Loop 1 equation:

The current flow through R1 (5052) is 11. The current flow through R2(l00S2) is 12, and through R3(20052) is 12 11:

Fifth, apply Ohm's Law to obtain the voltage drops across Resistors R1, RZ, and R3: V1 = 11R1 = (0.2686 amps)(5052) = 13.43 Volts

VZ = 1ZRZ = (0.3458 amps)(10052) = 34.58 Volts

V3 = (12 - 11) R3 = (0.0772 amps)(20052) = 15.44 Volts Sixth, check the calculations by applying Kirchhoff's Laws: Check 1: Apply Kirchhoff's voltage law to the larger outer loop (Figure 41).

Figure 41 Applying Voltage Laws to Outer Loop

The sum of the voltage drops around the loop is essentially zero. (Not exactly zero due to rounding off.)

Therefore, the solution checks.

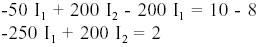
Check 2: Use Kirchhoff's current law at one of the junctions (Figure 42).

Figure 42 Applying Current Law to Junction The sum of the currents out of the junction is:

The current into the junction is 345.8 ma.

The current into the junction is equal to the current out of the junction. Therefore, the solution

checks.

 



Managed Security Service Provider
 


Privacy Statement - Copyright Information. - Contact Us

Integrated Publishing, Inc. - A (SDVOSB) Service Disabled Veteran Owned Small Business