Share on Google+Share on FacebookShare on LinkedInShare on TwitterShare on DiggShare on Stumble Upon
Custom Search
 
  

 

Kirchhoff's second law is called his current law and states: "At any junction point in a circuit, the current arriving is equal to the current leaving." Thus, if 15 amperes of current arrives at a junction that has two paths leading away from it, 15 amperes will divide among the two branches, but a total of 15 amperes must leave the junction. We are already familiar with Kirchhoff's current law from parallel circuits, that is, the sum of the branch currents is equal to the total current entering the branches, as well as the total current leaving the branches (Figure 35).

Figure 35 Illustration of Kirchhoff's Current Law

In equation form, Kirchhoff's current law may be expressed:

Normally Kirchhoff's current law is not used by itself, but with the voltage law, in solving a problem.

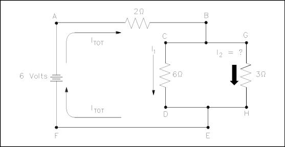
Example: Find IZ in the circuit shown in Figure 36 using Kirchhoff's voltage and current laws.

Figure 36 Using the Current Law

Solution:

First, apply Kirchhoff's voltage law to both loops.

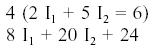
Since Kirchhoff'a current law states Itot.] = 11 + 12, substitute (11 + 12) in the place of Itotal in both loop equations and simplify.

We now have two equations and two unknowns and must eliminate 11 to find 12. One way is to multiply Loop ABGHEF equation by four, and subtract Loop ABCDEF equation from the result.

Multiply by 4:

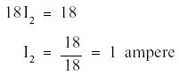
Subtract:

Now we have an equation with only 12, which is the current we are looking for.

This circuit could have been solved simply by using Ohm's Law, but we used Kirchhoff's Laws

to show the techniques used in solving complex circuits when Ohm's Law cannot be used.

Summary

The important information in this chapter is summarized below.

Kirchhoff's Laws Summary

Kirchhoff's voltage law states that the sum of the voltage drops around a closed loop is equal to the sum of the voltage sources of that loop.

Kirchhoff's current law states that the current arriving at any junction point in a circuit is equal to the current leaving that junction.

Since voltage and current can be related to energy and charge, then Kirchhoff's laws are only restating the laws governing energy and charge conservation.

 



Managed Security Service Provider
 


Privacy Statement - Copyright Information. - Contact Us

Integrated Publishing, Inc. - A (SDVOSB) Service Disabled Veteran Owned Small Business