Share on Google+Share on FacebookShare on LinkedInShare on TwitterShare on DiggShare on Stumble Upon
Custom Search
 
  

 

The resistance of a wire or a circuit is measured by an ohm meter. An ohm meter aids the troubleshooter in determining if a ground or a short exists in a circuit.

EO 1.2STATE the electrical parameters measured by each of the following in-place measuring devices:

c. Ohm meter

EO 1.3EXPLAIN how the following electrical test equipment and measuring devices are connected to a circuit:

c. Ohm meter

Ohm Meter

The ohm meter is an instrument used to determine resistance. A simple ohm meter (Figure 9) consists of a battery, a meter movement calibrated in ohms, and a variable resistor.

Figure 9 Simple Ohm Meter Circuit

Ohm meters are connected to a component which is removed from the circuit as illustrated in Figure 9. The reason for removing the component is that measurement of current through the component determines the resistance. If the component remains in the circuit, and a parallel path exists in the

circuit, the current will flow in the path of least resistance and give an erroneous reading.

Ro, in Figure 9, is an adjustable resistor whose purpose is to zero the ohm meter and correct for battery aging. It is also a current-limiting resistor which includes the meter resistance Rm. Zeroing the ohm meter is accomplished by shorting the ohm meter terminals ab and adjusting Ro to give full-scale deflection.

Equation (14-10) is the mathematical representation for determining full-scale deflection meter current.

When the unknown resistance Rx is connected across the ohm meter terminals, the current is measured by calculating the total series resistance and applying Equation (14-10). Equation (14-11) is the mathematical representation of this concept.

An easy way to determine ohm meter deflection is by use of a deflection factor (D). Deflection factor is the ratio of circuit current to meter current. Equation (14-12) is the mathematical representation of the deflection factor.

The current through the circuit can be determined by solving for I. Equation (14-13) is the mathematical representation of this relationship.

To solve for Rx using Equations (14-10) through (14-13), the relationship between deflection factor and the meter resistance to the unknown resistance can be shown. Equation (14-14) is the mathematical representation of this relationship.

If half-scale deflection occurs, then Rx = R0, so that the value of R0 is marked at mid-scale on the ohm meter face.

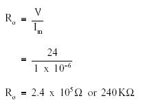
Example 1: An ohm meter has a meter movement with a 100 A full-scale deflection. The open circuit voltage at terminals ab is 24 V. The ohm meter is zeroed and then an unknown resistance R,, is measured, which produces quarter-scale deflection. Find RX.

Solution:

First find Ro.

Then solve for Rx:

Therefore, quarter scale deflection of this ohm meter face would read 720 K.

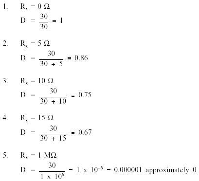
Example 2: An ohm meter with R0 = 30, and full scale current Im = 300 pA. Find I with: 1) 0, 2) 5, 3) 10, 4) 15, and 5) 1 M resistors across the meter terminal.

Solution:

First, the deflection factor for each resistor must be found. R

Then find I by using:

NOTE:As the resistance was increased from 0 to 552, meter current decreased by 42 A. Similarly, when resistance was increased from 5 to 1052, the current decreased by 33 A. Thus, an ammeter scale used to measure resistance is nonlinear (Figure 10). The ohm meter scale is a reversal of the ammeter and voltmeter scales. In other words, the zero resistance (Rx = 0) is at the right end of the scale and infinite resistance (Rx = 1 M) is at the left end of the scale.

Figure 10 Ohm Meter Scale

Summary

Ohm meters are summarized below.

Ohm Meter Summary Measures circuit resistance

Connected to a component removed from the circuit

 



Managed Security Service Provider
 


Privacy Statement - Copyright Information. - Contact Us

Integrated Publishing, Inc. - A (SDVOSB) Service Disabled Veteran Owned Small Business