Share on Google+Share on FacebookShare on LinkedInShare on TwitterShare on DiggShare on Stumble Upon
Custom Search
 
  

 

Measurement of current being supplied to or from a component is measured by an ammeter.

EO 1.2STATE the electrical parameters measured by each of the following in-place measuring devices:

b. Ammeter

EO 1.3EXPLAIN how the following electrical test equipment and measuring devices are connected to a circuit:

b. Ammeter

Ammeter

The ammeter measures electric current. It may be calibrated in amperes, milliamperes, or microamperes. In order to measure current, the ammeter must be placed in series with the circuit to be tested (Figure 6).

Figure 6 Ammeter

When an ammeter is placed in series with a circuit, it will increase the resistance of that circuit by an amount equal to the internal resistance of the meter Rm. Equation (14-3) is the mathematical representation of the current without the meter installed.

Equation (14-4) is the mathematical representation of the current with the meter installed in the circuit.

The accuracy of the ammeter KAis the ratio of the current when the meter is in the circuit, IW, to the current with the meter out of the circuit, 10. Equation (14-5) is the mathematical representation for solving for the accuracy of the ammeter (KA).

By substitution laws, Equation (14-6) is a mathematical representation of the accuracy using circuit resistance.

The percent loading error is that percent of error due to loading effects that result from the added resistance of the meter. Equation (14-7) is a mathematical representation of the percent loading error.

A second error which occurs in an ammeter is calibration error. Calibration error is an error that occurs due to inaccurately marked meter faces. Typical values of calibration error in terms of full scale current are about 3 percent.

Figure 7 Ammeter Accuracy

Example: An ammeter, with a 10 mA full scale deflection and an internal resistance of 400 , is placed in a circuit with a 20 V power source and a 2 K resistor (Figure 7).

 

Find:

1. accuracy

2. %loading error

3. true current

4. measured current

An ammeter with a full scale Im can be shunted with a resistor RSH in order to measure currents in excess of Im (Figure 8). The reason for shunting an ammeter is to extend the range of the ammeter and, thereby, measure currents higher than the original full scale value.

By Kirchhoff's current law,

Since the voltage across the shunt must be equal to the voltage across the ammeter, shunt resistance is calculated as follows:

Figure 8 Ammeter with Shunt

Therefore, the input resistance of a shunted ammeter is related to the meter and shunt resistance. Equation (14-8) is a mathematical representation of this relationship.

Equation (14-9) is a mathematical representation of the relationship between input voltage and current to the ammeter and the value of input resistance.

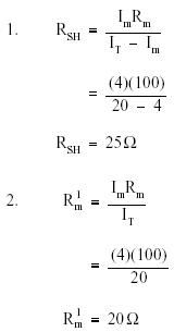
Example:

An ammeter, with a 100 92 meter resistance and a full scale deflection current of 4 mA, is to be shunted to measure currents from 1 to 20 mA.

Solution:

Summary

Ammeters are summarized below.

Ammeter Summary Measure circuit current flow Connected in series with the circuit

 



Managed Security Service Provider
 


Privacy Statement - Copyright Information. - Contact Us

Integrated Publishing, Inc. - A (SDVOSB) Service Disabled Veteran Owned Small Business