Share on Google+Share on FacebookShare on LinkedInShare on TwitterShare on DiggShare on Stumble Upon
Custom Search
 
  

 

The symbol for a transformer gives no indication of the phase of the voltage across the secondary. The phase of that voltage depends on the direction of the windings around the core. In order to solve this problem, polarity dots are used to show the phase of primary and secondary signals. The voltages are either in phase (Figure 7a) or 180 out of phase with respect to primary voltage (Figure 7b).

Figure 7 Polarity of Transformer Coils

Summary

The important information covered in this chapter is summarized below.

Transformer Theory Summary

The induction of an EMF in a coil by magnetic flux lines generated in another coil is called mutual induction.

The turns ratio is defined as the ratio of turns of wire in the primary winding to the number of turns of wire in the secondary winding.

The ratio between the primary and secondary impedances is referred to as the impedance ratio.

Efficiency of a transformer is the ratio of the power output to the power input.

In a delta connection, all three phases are connected in series to form a closed loop.

In a wye connection, three common ends of each phase are connected together at a common terminal, and the other three ends are connected to a three-phase line.

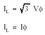
In a connected transformer:

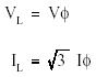
In a Y connected transformer:

 



Managed Security Service Provider
 


Privacy Statement - Copyright Information. - Contact Us

Integrated Publishing, Inc. - A (SDVOSB) Service Disabled Veteran Owned Small Business