Order this information in Print

Order this information on CD-ROM

Download in PDF Format

     

Click here to make tpub.com your Home Page

Page Title: Wet-bulb Temperature
Back | Up | Next

tpub.com Updates

Google


Web
www.tpub.com

Home

   
Information Categories
.... Administration
Advancement
Aerographer
Automotive
Aviation
Combat
Construction
Diving
Draftsman
Engineering
Electronics
Food and Cooking
Math
Medical
Music
Nuclear Fundamentals
Photography
Religion
USMC
   
Products
  Educational CD-ROM's
Printed Manuals
Downloadable Books
   

 

Back ] Home ] Up ] Next ]

Click here to Order your Radar Equipment Online

Wet-bulb Temperature

Wet-bulb temperature (TW) is the lowest temperature to which air can be cooled by the evaporation of water into the air at a constant pressure. Of course, the heat required for evaporation is supplied by the air. This is called the heat of vaporization. During this process, the air is cooled. The wet-bulb temperature is found by a graphical process on the Skew T, as follows:

1. From the dew point temperature, draw a line upward parallel to the mixing ratio lines.

2. From the temperature, draw a line upward parallel to the dry adiabats.

3. From the point where these two lines intersect, draw a line downward parallel to the moist adiabats to intersect the original pressure level. The temperature at the point of intersection is the wet-bulb temperature. See figure 6-2-2 for an example of the wet-bulb temperature procedure.

When constructing a wet-bulb-temperature curve, plot the wet-bulb temperatures in green. You may evaluate all plotted pressure levels up to the dew point cutoff, then connect the wet-bulb temperatures by a green line to draw the curve. In practice, the Wet-bulb-Zero (WBZ) height is the only data routinely used. The WBZ is the level at which the wet-bulb temperature crosses the 0C isotherm. This can be found by constructing the wet-bulb curve only in the area where the temperature and dew point traces cross the 0C isotherm.

Wet-bulb Potential Temperature

Wet-bulb potential temperature is the wet-bulb temperature a parcel of air would have if the parcel descended to 1,000 millibars. To find the wet-bulb potential temperature, simply read the values for the closest saturation adiabats. You may find it easier to read the values by drawing a light pencil line from the wet-bulb temperature parallel to the saturation adiabats to either the 1,000-millibar level or the 200-millibar level. Interpolate if necessary. See figure 6-2-2 for an example.

Virtual Temperature

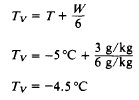
Virtual temperature (TV ) of a parcel of air is a derived value based on the air temperature and the water content of the air. The virtual temperature can be approximated by the formula  

For example, suppose we have a plotted report at 700 millibars with a temperature of -5C and a dew point temperature of 7.9C. Reading the mixing ratio at the dew point temperature would give us an actual mixing ratio (W) of 3.0 grams per kilogram. Using the formula, we would find the following:

Repeating these calculations for all temperature levels, plotting the values in pencil, and connecting the plots will yield a virtual temperature curve. If plotted, this curve will always be to the right of the actual temperature curve. Where the air is dry, the virtual temperature curve will be plotted just about over the actual temperature curve.  

In most work done on the Skew T, the actual temperature curve is used. But in cases where air density is a factor, such as in stability and thickness computations, the virtual temperature curve should be used.

Back ] Home ] Up ] Next ]

 

Privacy Statement - Press Release - Copyright Information. - Contact Us - Support Integrated Publishing

Integrated Publishing, Inc. - A (SDVOSB) Service Disabled Veteran Owned Small Business