Order this information in Print

Order this information on CD-ROM

Download in PDF Format

     

Click here to make tpub.com your Home Page

Page Title: Average and standard deviations
Back | Up | Next

tpub.com Updates

Google


Web
www.tpub.com

Home

   
Information Categories
.... Administration
Advancement
Aerographer
Automotive
Aviation
Combat
Construction
Diving
Draftsman
Engineering
Electronics
Food and Cooking
Math
Medical
Music
Nuclear Fundamentals
Photography
Religion
USMC
   
Products
  Educational CD-ROM's
Printed Manuals
Downloadable Books
   

 

Back ] Home ] Up ] Next ]

Click here to Order your Radar Equipment Online

AVERAGE AND STANDARD DEVIATIONS

In the analysis of climatological data, it may be desirable to compute the deviation of all items from a central point. This can be obtained from a computation of either the mean (or average) deviation or the standard deviation. These are termed measures of dispersion and are used to determine whether the average is truly representa-tive or to determine the extent to which data vary from the average.

Average Deviation

Average deviation is obtained by computing the arithmetic average of the deviations from an average of the data. First we obtain an average of the data, then the deviations of the individual items from this average are determined, and finally the arithmetic average of these deviations is computed. The plus and minus signs are disregarded. The formula for computation of the average deviation is as follows:


where the Greek letter (sigma) means the sum of d (the deviations) and n is the number of items.

Standard Deviation

The standard deviation, like the average devia-tion, is the measure of the scatter or spread of all values in a series of observations. To obtain the standard deviation, square each deviation from the arithmetic average of the data. Then, determine the arithmetic average of the squared deviations. Finally, derive the square root of this average. This is also called the root-mean-square deviation, since it is the square root of the mean of the deviations squared.

The formula for computing standard deviation is given as follows:


where d2 is the sum of the squared deviations from the arithmetic average, and n is the number of items in the group of data.

An example of the computations of average deviation and standard deviation is given in table 6-3-1 and in the following paragraphs. Suppose, on the basis of 10 years of data (1978-1987), you want to compute the average deviation of mean temperature and the standard deviation for the month of January. First arrange the data in tabular form (as in table 6-3-1), giving the year in the first column, the mean monthly temperature in the second column, the deviations from an arithmetic average of the mean temperature in the third column, and the devia-tions from the mean squared in the fourth column.

Table 6-3-1.Computation of Average and Standard Deviation


To compute the average deviation:

1. Add all the temperatures in column 2 and divide by the number of years (10 in this case) to get the arithmetic average of temperature.

2. In column 3, compute the deviation from the mean or average determined in step 1. (The mean temperature for the 10-year period was 51F.)

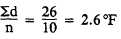
3. Total column 3, disregarding the negative and positive signs, (Total is 26.)

4. Apply the formula for average deviation:


The average deviation of temperature during the month of January for the period of record, 10 years, is 2.6F.

To compute the standard deviation:

1. Square the deviations from the mean (column 3).

2. Total these squared deviations. In this case, the total is 104.

3. Apply the formula for standard deviation:


The standard deviation of temperature for the month and period in question is 3.2F (rounded off to the nearest one-tenth of a degree). From the standard deviation just determined, it is apparent that there is a small range of mean temperature during January. If we had a fre-quency distribution of temperature available for this station for each day of the month, we could readily determine the percentage of readings which would fall in the 6.4-degree spread (3.2 either side of the mean). From these data we could then for-mulate a probability forecast or the number of days within this range on which we could expect the normal or mean temperature to occur. This study could be broken down further into hours of the day, etc., as required.

Back ] Home ] Up ] Next ]

 

Privacy Statement - Press Release - Copyright Information. - Contact Us - Support Integrated Publishing

Integrated Publishing, Inc. - A (SDVOSB) Service Disabled Veteran Owned Small Business