Order this information in Print

Order this information on CD-ROM

Download in PDF Format

     

Click here to make tpub.com your Home Page

Page Title: THE LAW OF PYTHAGORAS
Back | Up | Next

tpub.com Updates

Google


Web
www.tpub.com

Home

   
Information Categories
.... Administration
Advancement
Aerographer
Automotive
Aviation
Combat
Construction
Diving
Draftsman
Engineering
Electronics
Food and Cooking
Math
Medical
Music
Nuclear Fundamentals
Photography
Religion
USMC
   
Products
  Educational CD-ROM's
Printed Manuals
Downloadable Books
   

 

THE LAW OF PYTHAGORAS

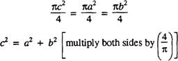
The Law of Pythagoras is the square of the hypotenuse of a right triangle equals the sum of the

1. RIGHT TRIANGLE- triangle having one right angle.

2. HYPOTENUSE- The hypotenuse of a right triangle is the side opposite the right angle.

3. LEG- The leg of a right triangle is a side opposite an acute angle of a right triangle.

d ABC is a right triangle.

Example:

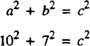
1. Given: a = 10; b= 7 Problem: find c.

3. Proof of a 3,4,5 triangle.

A right triangle can be constructed by making the sides 3, 4, and 5. We can prove it by the Law of Pythagoras.

Since values of 3,4, and 5 satisfy the equation, we may conclude that the statement above is correct.

4. Application of the Law of Pythagoras Given a right triangle ABC:

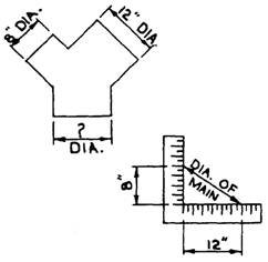
Prove that the area of a circle of a diameter of side c is equal to the sum of the areas of circles whose diameters are sides a and b.

area circle diameter c = area circle diameter a + area circle diameter b.

Then:

Since this is the rule of the right triangle, the above statement is true.

Example:

In the Y branch shown, the areas of the two branches must equal the area of the main. By the above proof, if the two known diameters are considered to be legs of a right triangle, the hypotenuse will be the diameter of the main.

Privacy Statement - Press Release - Copyright Information. - Contact Us - Support Integrated Publishing

Integrated Publishing, Inc. - A (SDVOSB) Service Disabled Veteran Owned Small Business