Custom Search
 
  

 
CHAPTER 3

EXERCISES

1. You have been jogging regularly for six months and you want to know how many miles you have jogged in the six month period. Write a program that will total your miles jogged and print a heading that says:

MILES JOGGED IN SIX MONTHS ARE

Your miles for each month are: 182, 178, 174, 170, 187, 183

2. Modify the program from question one to include the computation of average miles jogged per month and a heading that says:

AVERAGE MILES JOGGED PER MONTH IS

Leave a blank line between headings.

3. Write a program to convert Fahrenheit temperatures to Celsius and print the results. The Fahrenheit temperature readings are: 76, 88, and 96. The formula C = (F - 32)*5/9.

4. Which of the following are valid numeric-variable names? For those that are not valid, what is wrong with them?

A. R         E. A2

B. R1       F. AA

C. 9         G. M52

D. 9L        H. A$

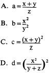
5. For the following expressions write the BASIC statements to solve the expression.



Managed Security Service Provider
 


Privacy Statement - Copyright Information. - Contact Us

Integrated Publishing, Inc. - A (SDVOSB) Service Disabled Veteran Owned Small Business