Share on Google+Share on FacebookShare on LinkedInShare on TwitterShare on DiggShare on Stumble Upon
Custom Search
 
  

Attenuation

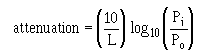
Attenuation in an optical fiber is caused by absorption, scattering, and bending losses. Attenuation is the loss of optical power as light travels along the fiber. Signal attenuation is defined as the ratio of optical input power (Pi) to the optical output power (Po). Optical input power is the power injected into the fiber from an optical source. Optical output power is the power received at the fiber end or optical detector. The following equation defines signal attenuation as a unit of length:

Signal attenuation is a log relationship. Length (L) is expressed in kilometers. Therefore, the unit of attenuation is decibels/kilometer (dB/km). As previously stated, attenuation is caused by absorption, scattering, and bending losses. Each mechanism of loss is influenced by fiber-material properties and fiber structure. However, loss is also present at fiber connections. Fiber connector, splice, and coupler losses are discussed in chapter 4. The present discussion remains relative to optical fiber attenuation properties.

Q.38 Define attenuation.

ABSORPTION. - Absorption is a major cause of signal loss in an optical fiber. Absorption is defined as the portion of attenuation resulting from the conversion of optical power into another energy form, such as heat. Absorption in optical fibers is explained by three factors:

  • Imperfections in the atomic structure of the fiber material
  • The intrinsic or basic fiber-material properties
  • The extrinsic (presence of impurities) fiber-material properties

Imperfections in the atomic structure induce absorption by the presence of missing molecules or oxygen defects. Absorption is also induced by the diffusion of hydrogen molecules into the glass fiber. Since intrinsic and extrinsic material properties are the main cause of absorption, they are discussed further.

Intrinsic Absorption. - Intrinsic absorption is caused by basic fiber-material properties. If an optical fiber were absolutely pure, with no imperfections or impurities, then all absorption would be intrinsic. Intrinsic absorption sets the minimal level of absorption.

In fiber optics, silica (pure glass) fibers are used predominately. Silica fibers are used because of their low intrinsic material absorption at the wavelengths of operation.

In silica glass, the wavelengths of operation range from 700 nanometers (nm) to 1600 nm. Figure 2-21 shows the level of attenuation at the wavelengths of operation. This wavelength of operation is between two intrinsic absorption regions. The first region is the ultraviolet region (below 400-nm wavelength). The second region is the infrared region (above 2000-nm wavelength).

Figure 2-21. - Fiber losses. 

Intrinsic absorption in the ultraviolet region is caused by electronic absorption bands. Basically, absorption occurs when a light particle (photon) interacts with an electron and excites it to a higher energy level. The tail of the ultraviolet absorption band is shown in figure 2-21.

The main cause of intrinsic absorption in the infrared region is the characteristic vibration frequency of atomic bonds. In silica glass, absorption is caused by the vibration of silicon-oxygen (Si-O) bonds. The interaction between the vibrating bond and the electromagnetic field of the optical signal causes intrinsic absorption. Light energy is transferred from the electromagnetic field to the bond. The tail of the infrared absorption band is shown in figure 2-21.

Extrinsic Absorption. - Extrinsic absorption is caused by impurities introduced into the fiber material. Trace metal impurities, such as iron, nickel, and chromium, are introduced into the fiber during fabrication. Extrinsic absorption is caused by the electronic transition of these metal ions from one energy level to another.

Extrinsic absorption also occurs when hydroxyl ions (OH-) are introduced into the fiber. Water in silica glass forms a silicon-hydroxyl (Si-OH) bond. This bond has a fundamental absorption at 2700 nm. However, the harmonics or overtones of the fundamental absorption occur in the region of operation. These harmonics increase extrinsic absorption at 1383 nm, 1250 nm, and 950 nm. Figure 2-21 shows the presence of the three OH- harmonics. The level of the OH- harmonic absorption is also indicated.

These absorption peaks define three regions or windows of preferred operation. The first window is centered at 850 nm. The second window is centered at 1300 nm. The third window is centered at 1550 nm. Fiber optic systems operate at wavelengths defined by one of these windows.

The amount of water (OH-) impurities present in a fiber should be less than a few parts per billion. Fiber attenuation caused by extrinsic absorption is affected by the level of impurities (OH-) present in the fiber. If the amount of impurities in a fiber is reduced, then fiber attenuation is reduced.

Q.39 What are the main causes of absorption in optical fiber?
Q.40 Silica (pure glass) fibers are used because of their low intrinsic material absorption at the wavelengths of operation. This wavelength of operation is between two intrinsic absorption regions. What are these two regions called? What are the wavelengths of operation for these two regions?
Q.41 Extrinsic (OH-) absorption peaks define three regions or windows of preferred operation. List the three windows of operation.

SCATTERING. - Basically, scattering losses are caused by the interaction of light with density fluctuations within a fiber. Density changes are produced when optical fibers are manufactured.

During manufacturing, regions of higher and lower molecular density areas, relative to the average density of the fiber, are created. Light traveling through the fiber interacts with the density areas as shown in figure 2-22. Light is then partially scattered in all directions.

Figure 2-22. - Light scattering.

In commercial fibers operating between 700-nm and 1600-nm wavelength, the main source of loss is called Rayleigh scattering. Rayleigh scattering is the main loss mechanism between the ultraviolet and infrared regions as shown in figure 2-21. Rayleigh scattering occurs when the size of the density fluctuation (fiber defect) is less than one-tenth of the operating wavelength of light. Loss caused by Rayleigh scattering is proportional to the fourth power of the wavelength (1/λ4). As the wavelength increases, the loss caused by Rayleigh scattering decreases.

If the size of the defect is greater than one-tenth of the wavelength of light, the scattering mechanism is called Mie scattering. Mie scattering, caused by these large defects in the fiber core, scatters light out of the fiber core. However, in commercial fibers, the effects of Mie scattering are insignificant. Optical fibers are manufactured with very few large defects.

Q.42 What is the main loss mechanism between the ultraviolet and infrared absorption regions?
Q.43 Scattering losses are caused by the interaction of light with density fluctuations within a fiber. What are the two scattering mechanisms called when the size of the density fluctuations is (a) greater than and (b) less than one-tenth of the operating wavelength?

BENDING LOSS. - Bending the fiber also causes attenuation. Bending loss is classified according to the bend radius of curvature: microbend loss or macrobend loss.

Microbends are small microscopic bends of the fiber axis that occur mainly when a fiber is cabled. Macrobends are bends having a large radius of curvature relative to the fiber diameter. Microbend and macrobend losses are very important loss mechanisms. Fiber loss caused by microbending can still occur even if the fiber is cabled correctly. During installation, if fibers are bent too sharply, macrobend losses will occur.

Microbend losses are caused by small discontinuities or imperfections in the fiber. Uneven coating applications and improper cabling procedures increase microbend loss. External forces are also a source of microbends. An external force deforms the cabled jacket surrounding the fiber but causes only a small bend in the fiber. Microbends change the path that propagating modes take, as shown in figure 2-23. Microbend loss increases attenuation because low-order modes become coupled with high-order modes that are naturally lossy.

Figure 2-23. - Microbend loss. 

Macrobend losses are observed when a fiber bend's radius of curvature is large compared to the fiber diameter.

These bends become a great source of loss when the radius of curvature is less than several centimeters. Light propagating at the inner side of the bend travels a shorter distance than that on the outer side. To maintain the phase of the light wave, the mode phase velocity must increase. When the fiber bend is less than some critical radius, the mode phase velocity must increase to a speed greater than the speed of light. However, it is impossible to exceed the speed of light. This condition causes some of the light within the fiber to be converted to high-order modes. These high-order modes are then lost or radiated out of the fiber.

Fiber sensitivity to bending losses can be reduced. If the refractive index of the core is increased, then fiber sensitivity decreases. Sensitivity also decreases as the diameter of the overall fiber increases. However, increases in the fiber core diameter increase fiber sensitivity. Fibers with larger core size propagate more modes. These additional modes tend to be more lossy.

Q.44 Microbend loss is caused by microscopic bends of the fiber axis. List three sources of microbend loss.
Q.45 How is fiber sensitivity to bending losses reduced?



Managed Security Service Provider


Privacy Statement - Copyright Information. - Contact Us

Integrated Publishing, Inc. - A (SDVOSB) Service Disabled Veteran Owned Small Business