Share on Google+Share on FacebookShare on LinkedInShare on TwitterShare on DiggShare on Stumble Upon
Custom Search
 
  

Shaded-Pole Induction Motors

The shaded-pole induction motor is another single-phase motor.

It uses a unique method to start the rotor turning. The effect of a moving magnetic field is produced by constructing the stator in a special way. This motor has projecting pole pieces just like some dc motors. In addition, portions of the pole piece surfaces are surrounded by a copper strap called a shading coil. A pole piece with the strap in place is shown in figure 4-13.

The strap causes the field to move back and forth across the face of the pole piece. Note the numbered sequence and points on the magnetization curve in the figure. As the alternating stator field starts increasing from zero (1), the lines of force expand across the face of the pole piece and cut through the strap. A voltage is induced in the strap. The current that results generates a field that opposes the cutting action (and decreases the strength) of the main field. This produces the following actions: As the field increases from zero to a maximum at 90, a large portion of the magnetic lines of force are concentrated in the unshaded portion of the pole (1). At 90 the field reaches its maximum value. Since the lines of force have stopped expanding, no emf is induced in the strap, and no opposing magnetic field is generated. As a result, the main field is uniformly distributed across the pole (2). From 90 to 180, the main field starts decreasing or collapsing inward. The field generated in the strap opposes the collapsing field. The effect is to concentrate the lines of force in the shaded portion of the pole face (3). You can see that from 0 to 180, the main field has shifted across the pole face from the unshaded to the shaded portion. From 180 to 360, the main field goes through the same change as it did from 0 to 180; however, it is now in the opposite direction (4). The direction of the field does not affect the way the shaded pole works. The motion of the field is the same during the second half-cycle as it was during the first half of the cycle.

Figure 4-13. - Shaded poles as used in shaded-pole ac induction motors.

32NE0452.GIF (16124 bytes)

The motion of the field back and forth between shaded and unshaded portions produces a weak torque to start the motor. Because of the weak starting torque, shaded-pole motors are built only in small sizes. They drive such devices as fans, clocks, blowers, and electric razors.

Q.13 Why are shaded-pole motors used to drive only very small devices?

Speed of Single-Phase Induction Motors

The speed of induction motors is dependent on motor design. The synchronous speed (the speed at which the stator field rotates) is determined by the frequency of the input ac power and the number of poles in the stator.

The greater the number of poles, the slower the synchronous speed. The higher the frequency of applied voltage, the higher the synchronous speed. Remember, however, that neither frequency nor number of poles are variables. They are both fixed by the manufacturer.

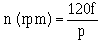
The relationship between poles, frequency, and synchronous speed is as follows:

0112.GIF (283 bytes)

where n is the synchronous speed in rpm, f is the frequency of applied voltage in hertz, and p is the number of poles in the stator.

Let's use an example of a 4-pole motor, built to operate on 60 hertz. The synchronous speed is determined as follows:

0113.GIF (519 bytes)

Common synchronous speeds for 60-hertz motors are 3600, 1800, 1200, and 900 rpm, depending on the number of poles in the original design.

As we have seen before, the rotor is never able to reach synchronous speed. If it did, there would be no voltage induced in the rotor. No torque would be developed. The motor would not operate. The difference between rotor speed and synchronous speed is called slip. The difference between these two speeds is not great. For example, a rotor speed of 3400 to 3500 rpm can be expected from a synchronous speed of 3600 rpm.



Managed Security Service Provider


Privacy Statement - Copyright Information. - Contact Us

Integrated Publishing, Inc. - A (SDVOSB) Service Disabled Veteran Owned Small Business