corrective maintenance. Maintenance handbooks for the equipment can often be used to help you take these measurements. These handbooks often contain resistance charts that are referenced to accessible test points within the equipment. Without these charts, taking resistance measurements in a complex circuit is a slow process.">

Share on Google+Share on FacebookShare on LinkedInShare on TwitterShare on DiggShare on Stumble Upon
Custom Search
 
  

RESISTANCE MEASUREMENTS

Resistance measurements are a valuable aid to you in locating defective circuits and components during corrective maintenance. Maintenance handbooks for the equipment can often be used to help you take these measurements. These handbooks often contain resistance charts that are referenced to accessible test points within the equipment. Without these charts, taking resistance measurements in a complex circuit is a slow process. The process is slow because one side of the circuit component must often be desoldered to get a true resistance measurement. However, resistance tolerances vary so widely that approximate resistance readings are adequate for most jobs.

Once the most accessible test point is found, an ohmmeter is usually used to take the resistance measurement. Because of the degree of accuracy needed when an ohmmeter is used, proper calibration and understanding of the meter scales is a must. (Topic 2 of this module will discuss these requirements in detail.) When using an ohmmeter, you must observe the following precautions:

  • The circuit being tested must be completely de-energized.
  • Any meters or transistors which can be damaged by the ohmmeter current must be removed before any measurement is made.

Q.16 What must be done to a circuit before you can use an ohmmeter for testing? answer.gif (214 bytes)

CAPACITANCE MEASUREMENTS

Capacitance measurements are usually taken with a capacitance meter. Capacitance tolerances vary even more widely than resistance tolerances. Capacitance tolerances depend on the type of capacitor, the value of capacitance, and the voltage rating. The actual measurement of capacitance is very simple; however, you must make the important decision of whether to reject or to continue to use the capacitor after it has been tested.

The POWER FACTOR of a capacitor is important because it is an indication of the various losses of a capacitor. Power losses can be traced to the dielectric, such as current leakage and dielectric absorption. Current leakage is of considerable importance, especially in electrolytic capacitors.

Q.17 What is the term used to refer to the losses which can be traced to the dielectric of a capacitor? answer.gif (214 bytes)

INDUCTANCE MEASUREMENTS

Inductance measurements are seldom required in the course of troubleshooting. However, inductance measurements are useful in some cases; therefore, bridges (discussed in the next section) are available for making this test. You will find that many capacitance test sets can be used to measure inductance. Most capacitance test sets are furnished with inductance conversion charts if the test equipment scale is not calibrated to read the value of inductance directly.

CAPACITANCE, INDUCTANCE, AND RESISTANCE BRIDGES

You can measure capacitance, inductance, and resistance for precise accuracy by using ac bridges. These bridges are composed of capacitors, inductors, and resistors in a wide variety of combinations. These bridges are operated on the principle of a dc bridge called a WHEATSTONE BRIDGE.

Wheatstone Bridge

The Wheatstone bridge is widely used for precision measurements of resistance. The circuit diagram for a Wheatstone bridge is shown in figure 1-5. Resistors R1, R2, and R3 are precision, variable resistors. The value of Rx is an unknown value of resistance that must be determined. After the bridge has been properly balanced (galvanometer G reads zero), the unknown resistance may be determined by means of a simple formula. The galvanometer (an instrument that measures small amounts of current) is inserted across terminals b and d to indicate the condition of balance. When the bridge is properly balanced, no difference in potential exists across terminals b and d; when switch S2 is closed, the galvanometer reading is zero.

Figure 1-5. - Wheatstone bridge.

33NP0003.GIF (5425 bytes)

The operation of the bridge is explained in a few logical steps. When the battery switch S1 is closed, electrons flow from the negative terminal of the battery to point a. Here the current divides as it would in any parallel circuit. Part of it passes through R1 and R2; the remainder passes through R3 and Rx. The two currents, I1 and I2, unite at point c and return to the positive terminal of the battery. The value of I1 depends on the sum of resistance R1 and R2, and the value of I2 depends on the sum of resistances R3 and Rx. In each case, according to Ohm's law, the current is inversely proportional to the resistance.

R1, R2, and R3 are adjusted so that when S1 is closed, no current flows through G. When the galvanometer shows no deflection, there is no difference of potential between points b and d. All of I1 follows the a b c path and all I2 follows the a b c path. This means that a voltage drop E1 (across R1 between points a and b) is the same as voltage drop E3 (across R3 between points a and d). Similarly, the voltage drops across R2 and Rx (E2 and Ex) are also equal. Expressed algebraically,

EQ1611.GIF (289 bytes)

and

With this information, we can figure the value of the unknown resistor Rx. Divide the voltage drops across R1 and R3 by their respective voltage drops across R2 and Rx as follows:

We can simplify this equation:

then we multiply both sides of the expression by Rx to separate it:

For example, in figure 1-5, we know that R1 is 60 ohms, R2 is 100 ohms, and R3 is 200 ohms. To find the value of R x, we can use our formula as follows:

Use of ac Bridges

A wide variety of ac bridge circuits (such as the Wheatstone) may be used for the precision measurement of ac resistance, capacitance, and inductance. Let's look at ac bridges in terms of functions they perform.

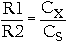
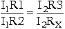
RESISTANCE BRIDGE. - An ac signal generator, as shown in figure 1-6, is used as the source of voltage. Current from the generator passes through resistors R1 and R2, which are known as the ratio arms, and through Rs and Rx. Again, Rx is known as resistance. Rs has a standard value and replaces R3 in figure 1-6. When the voltage drops across R2 and Rs are equal, the voltage drops across R2 and Rx are also equal; no difference of potential exists across the meter and no current flows through it. As we discovered with the Wheatstone bridge, when no voltage appears across the meter, the following ratio is true:

Figure 1-6. - Resistance bridge (ac).

33NP0004.GIF (5313 bytes)

For example, if in figure 1-6 we know that R1 is 20 ohms, R2 is 40 ohms, and Rs is 60 ohms, we can find the value of Rx using our formula as follows:

With the ac signal applied to the bridge, R1 and R2 are varied until a zero reading is seen on the meter. Zero deflection indicates that the bridge is balanced. (NOTE: In actual practice, the variables are adjusted for a minimum reading since the phase difference between the two legs will not allow a zero reading.)

CAPACITANCE BRIDGE. - Because current varies inversely with resistance and directly with capacitance, an inverse proportion exists between the four arms of the bridge in figure 1-7; the right side of our expression is inverted from the resistance bridge expression as follows:

or

EQ16110.GIF (255 bytes)

Figure 1-7. - Capacitance bridge.

33NP0005.GIF (5402 bytes)

Q.18 What effect does an increase in capacitance have on a capacitor's opposition to current flow? answer.gif (214 bytes)



Managed Security Service Provider


Privacy Statement - Copyright Information. - Contact Us

Integrated Publishing, Inc. - A (SDVOSB) Service Disabled Veteran Owned Small Business