Share on Google+Share on FacebookShare on LinkedInShare on TwitterShare on DiggShare on Stumble Upon
Custom Search
 
  

VELOCITY OF WAVE PROPAGATION

If a voltage is initially applied to the sending end of a line, that same voltage will appear later some distance from the sending end. This is true regardless of any change in voltage, whether the change is a jump from zero to some value or a drop from some value to zero. The voltage change will be conducted down the line at a constant rate.

Recall that the inductance of a line delays the charging of the line capacitance. The velocity of propagation is therefore related to the values of L and C. If the inductance and capacitance of the rf line are known, the time required for any waveform to travel the length of the line can be determined. To see how this works, observe the following relationship:

Q = IT

This formula shows that the total charge or quantity is equal to the current multiplied by the time the current flows. Also:

Q = CE

This formula shows that the total charge on a capacitor is equal to the capacitance multiplied by the voltage across the capacitor.

If the switch in figure 3-23 is closed for a given time, the quantity (Q) of electricity leaving the battery can be computed by using the equation Q = IT. The electricity leaves the battery and goes into the line, where a charge is built up on the capacitors. The amount of this charge is computed by using the equation Q = CE.

Figure 3-23. - Dc applied to an equivalent transmission line.

Since none of the charge is lost, the total charge leaving the battery during T is equal to the total charge on the line. Therefore:

Q = IT = CE

As each capacitor accumulates a charge equal to CE, the voltage across each inductor must change. As C1 in figure 3-23 charges to a voltage of E, point A rises to a potential of E volts while point B is still at zero volts. This makes E appear across L2. As C2 charges, point B rises to a potential of E volts as did point A. At this time, point B is at E volts and point C rises. Thus, we have a continuing action of voltage moving down the infinite line.

In an inductor, these circuit components are related, as shown in the formula

This shows that the voltage across the inductor is directly proportional to inductance and the change in current, but inversely proportional to a change in time. Since current and time start from zero, the change in time (DT) and the change in current (DI) are equal to the final time (T) and final current (I). For this case the equation becomes:

ET = LI

If voltage E is applied for time (T) across the inductor (L), the final current (I) will flow. The following equations show how the three terms (T, L, and C) are related:

For convenience, you can find T in terms of L and C in the following manner. Multiply the left and right member of each equation as follows:

This final equation is used for finding the time required for a voltage change to travel a unit length, since L and C are given in terms of unit length. The velocity of the waves may be found by:

Where: D is the physical length of a unit

This is the rate at which the wave travels over a unit length. The units of L and C are henrys and farads, respectively. T is in seconds per unit length and V is in unit lengths per second.

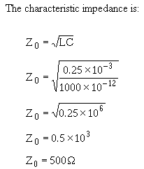
DETERMINING CHARACTERISTIC IMPEDANCE

As previously discussed, an infinite transmission line exhibits a definite input impedance. This impedance is the CHARACTERISTIC IMPEDANCE and is independent of line length. The exact value of this impedance is the ratio of the input voltage to the input current. If the line is infinite or is terminated in a resistance equal to the characteristic impedance, voltage and current waves traveling the line are in phase. To determine the characteristic impedance or voltage-to-current ratio, use the following procedure:

Take the square root:

Example:

A problem using this equation will illustrate how to determine the characteristics of a transmission line. Assume that the line shown in figure 3-23 is 1000 feet long. A 100-foot (approximately 30.5 meter) section is measured to determine L and C. The section is found to have an inductance of 0.25 millihenry and a capacitance of 1000 picofarads. Find the characteristic impedance of the line and the velocity of the wave on the line.



Managed Security Service Provider


Privacy Statement - Copyright Information. - Contact Us

Integrated Publishing, Inc. - A (SDVOSB) Service Disabled Veteran Owned Small Business