Share on Google+Share on FacebookShare on LinkedInShare on TwitterShare on DiggShare on Stumble Upon
Custom Search
 
  

PROBABILITY OF FAILURE

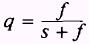
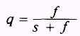
As before, if a trial results in any of n equally likely ways, and s is the number of successful ways and f is the number of failures, the probability of failure is

or

where

s+f=n

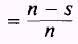
or

n-s=f

A trial must result in either success or failure. If success is certain then p equals 1 and q equals 0. If success is impossible then p equals 0 and q equals 1. Combining both events, for either case, makes the probability of success plus the probability of failure equal to 1. If

and

then

If, in any event

p+q=1

then

In the case of tossing a coin, the probability of success is

and the probability of failure is

EXAMPLE: What is the probability of not drawing a black marble from a box containing 6 white, 3 red, and 2 black marbles?

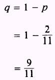
SOLUTION: The probability of drawing a black marble from the box is

Since the probability of drawing a marble is 1, then the probability of not drawing a black marble is

PRACTICE PROBLEMS:

Compare the following problems and answers with the preceding problems dealing with the probability of success:

1. What is the probability of not drawing an ace from a standard deck of 52 playing cards?

2. What is the probability of not drawing a black ace from a standard deck of playing cards?

3. If a die is rolled, what is the probability of an odd number not showing on the upper face?

4. A man has 3 nickels, 2 dimes, and 4 quarters in his pocket. If he draws a single coin from his pocket, what is the probability that

a. he will not draw a nickel?

b. he will not draw a half-dollar? c. he will not draw a quarter?

ANSWERS:



Managed Security Service Provider


Privacy Statement - Copyright Information. - Contact Us

Integrated Publishing, Inc. - A (SDVOSB) Service Disabled Veteran Owned Small Business